UP Board Solutions for Class 12 Chemistry Chapter 13 Amines (ऐमीन)
अभ्यास के अन्तर्गत दिए गए प्रश्नोत्तर
प्रश्न 1.
निम्नलिखित ऐमीनों को प्राथमिक, द्वितीयक अथवा तृतीयक ऐमीनों में वर्गीकृत कीजिए.

(iii) (C2H5)2 CHNH2,
(iv) (C2H5)2 NH.
उत्तर :
(i) प्राथमिक ऐमीन
(ii) तृतीयक ऐमीन ।
(iii) प्राथमिक ऐमीन
(iv) द्वितीयक ऐमीन।
प्रश्न 2.
(i) अणुसूत्र C4H11N से प्राप्त विभिन्न समावयवी ऐमीनों की संरचना लिखिए।
(ii) सभी समावयवों के आई०यू०पी०ए०सी० नाम लिखिए।
(iii) विभिन्न युग्मों द्वारा कौन-से प्रकार की समावयवता प्रदर्शित होती है? या सूत्र C4H11N से कितने प्राथमिक ऐमीन सम्भव हैं?
उत्तर :
आठ समावयवी ऐल्कीन सम्भव हैं


N,N-डाइमेथिलएथेनेमीन (तृतीयक)
विभिन्न ऐमीनों द्वारा प्रदर्शित समावयवता :
- श्रृंखला समावयवी : (i) तथा(ii); (iii) तथा (iv); (i) तथा (iv)
- स्थाने समावयवी : (ii) तथा (iii); (ii) तथा (iv)
- मध्यावयवी : (v) तथा (vi); (vii) तथा (viii)
- क्रियात्मक समावयवी : तीनों प्रकार की ऐमीन एक-दूसरे की क्रियात्मक समावयवी होती हैं।
प्रश्न 3.
आप निम्नलिखित परिवर्तन कैसे करेंगे?
(i) बेन्जीन से ऐनिलीन
(ii) बेन्जीन से N, N-डाइमेथिल ऐनिलीन
(iii) Cl—(CH2)4—Cl से हेक्सेन – 1, 6 – डाइऐमीन
उत्तर :

प्रश्न 4.
निम्नलिखित को उनके बढ़ते हुए क्षारकीय प्रबलता के क्रम में लिखिए
(i) C2H5NH2, C6H5NH2, NH3, C6H5NH2NH2) तथा (C2H5)2 NH
(ii) C2H5NH2, (C2H5)2 NH, (C2H5)3 N, C6H5NH2
(iii) CH3NH2, (CH3)2NH, (CH3)3N, C6H5NH2, C6H5CH2NH2
उत्तर :
(i) C6H5NH2 < NH3 < C6H5CH2NH2 < C2H5NH2, < (C2H5)2 NH
(ii) C6H5NH2 < C2H5NH2< (C2H5)3N < (C2H5)2 NH
(iii) C6H5NH2 < C6H5CH2NH2 < (CH3)3N < CH3NH2 < (CH3)2NH
प्रश्न 5.
निम्नलिखित अम्ल-क्षारक अभिक्रिया को पूर्ण कीजिए तथा उत्पादों के नाम लिखिए
(i) CH3CH2CH2NH2 + HCl →
(ii) ( (C2H5)2 N + HCl →
उत्तर :

प्रश्न 6.
सोडियम कार्बोनेट विलयन की उपस्थिति में मेथिल आयोडाइड के आधिक्य द्वारा ऐनिलीन के ऐल्किलन में उत्पन्न होने वाले उत्पादों के लिए अभिक्रिया लिखिए।
उत्तर :

प्रश्न 7.
ऐनिलीन की बेन्जोइल क्लोराइड के साथ रासायनिक अभिक्रिया द्वारा उत्पन्न उत्पादों के नाम लिखिए।
उत्तर :

प्रश्न 8.
अणुसूत्र C3H9 N से प्राप्त विभिन्न समावयवों की संरचना लिखिए। उन समावयवों के आई०यू०पी०ए०सी० नाम लिखिए जो नाइट्रस अम्ल के साथ नाइट्रोजन गैस मुक्त। करते हैं।
उत्तर :
आण्विक सूत्र C3H9 N चार समावयवी ऐलिफैटिक ऐमीनों को निरूपित करता है। ये निम्नवत् है।

केवल प्राथमिक ऐमीन नाइट्रस अम्ल (HONO) के साथ क्रिया करके N2 गैस मुक्त करती हैं तथा संगत प्राथमिक ऐल्कोहॉल बनाती हैं।

प्रश्न 9.
निम्नलिखित परिवर्तन कीजिए
(i) 3 – मेथिल ऐनिलीन से 3 – नाइट्रोटॉलूईन
(ii) ऐनिलीन से 1, 3, 5 – ट्राइब्रोमो बेन्जीन।
उत्तर :


अतिरिक्त अभ्यास
प्रश्न 1.
निम्नलिखित यौगिकों को प्राथमिक, द्वितीयक एवं तृतीयक ऐमीनों में वर्गीकृत कीजिए तथा इनके आई०यू०पी०ए०सी० नाम लिखिए
- (CH3)2CHNH2
- CH3(CH2)2CH2NH2
- CH3NHCH(CH3)2
- (CH3)3CNH2
- C6H5NHCH3
- (CH3CH2)2NCH3
- m-BrC6H4NH2
उत्तर :
- प्रोपेन-2-ऐमीन (1°)
- प्रोपेन-1-ऐमीन (1°)
- N-मेथिल प्रोपेन-2-ऐमीन (2°)
- 2-मेथिलप्रोपेन-2-ऐमीन (3°)
- N-मेथिलबेन्जीनेमीन या N-मेथिलऐनिलीन (2°)
- N-एथिल, N-मेथिलऐथेनेमीन (3°)
- 3-ब्रोमोबेन्जैनेमीन या 3-ब्रोमोऐनिलीन (1°)
प्रश्न 2.
निम्नलिखित युग्मों के यौगिकों में विभेद के लिए एक रासायनिक परीक्षण दीजिए
(i) मेथिल ऐमीन एवं डाइमेथिल ऐमीन
(ii) द्वितीयक एवं तृतीयक ऐमीन
(iii) एथिल ऐमीन एवं ऐनिलीन
(iv) ऐनिलीन एवं बेन्जिल ऐमीन
(v) ऐनिलीन एवं N-मेथिल ऐनिलीन।
उत्तर :
(i) मेथिल ऐमीन एवं डाइमेथिल ऐमीन :
इनमें कार्बिलऐमीन परीक्षण द्वारा विभेद किया जा सकता है। मेथिलऐमीन प्राथमिक ऐमीन है, इसलिए यह कार्बिलऐमीन परीक्षण देती है अर्थात् KOH के ऐल्कोहॉलिक विलयन तथा CHCl3 के साथ गर्म करने पर यह मेथिल काबिलेमीन की तीव्र गन्ध देती है। इसके विपरीत, डाइमेथिलऐमीन एक द्वितीयक ऐमीन है, इसलिए यह कार्बिलऐमीन परीक्षण नहीं देती।

(ii) द्वितीयक एवं तृतीयक ऐमीन :
इनमें लिबरमैन नाइट्रोसोऐमीन परीक्षण द्वारा विभेद किया जा सकता है। द्वितीयक ऐमीन लिबरमैन नाइट्रोसोऐमीन परीक्षण देती हैं, जबकि तृतीयक ऐमीन ये परीक्षण नहीं देती।। द्वितीयक ऐमीन HNO2, से अभिक्रिया करके पीले रंग का तैलीय N-नाइट्रोसोऐमीन देती हैं। यहाँ HNO2, को खनिज अम्ल (HCI) तथा सोडियम नाइट्राइट की अभिक्रिया द्वारा माध्यम में (in situ) ही बनाया जाता है

N-नाइट्रोसोडाइएथिल ऐमीन को फीनॉल के क्रिस्टल तथा सान्द्र H2SO2 के साथ गर्म करने पर यह एक हरा विलयन देती है जिसे जलीय NaOH के साथ क्षारीय बनाए जाने पर गहरा नीला विलयन प्राप्त होता है जो तनुकरण पर लाल हो जाता है। तृतीयक ऐमीन यह परीक्षण नहीं देती हैं।
(iii) एथिल ऐमीन एवं ऐनिलीन :
एथिलऐमीन प्राथमिक ऐलिफैटिक ऐमीन है, जबकि ऐनिलीने प्राथमिक ऐरोमैटिक ऐमीन है। इन्हें ऐजो रंजक परीक्षण द्वारा विभेदित किया जा सकता है। ऐजो रंजक परीक्षण – इसमें ऐरोमैटिक प्राथमिक ऐमीन की HNO2, (NaNO2, + तनु HCl ) के साथ 273–278K पर अभिक्रिया होती है तथा इसके पश्चात् 2 नैफ्थॉल (β – नैफ्थॉल) के क्षारीय विलयन के साथ अभिक्रिया से गहरे पीले, नारंगी या लाल रंग का रंजक प्राप्त होता है।

ऐलिफैटिक प्राथमिक ऐमीन उपर्युक्त परिस्थितियों के अन्तर्गत प्राथमिक ऐल्कोहॉलों के निर्माण के साथ नाइट्रोजन गैस तीव्रता से मुक्त करती हैं अर्थात् विलयन पारदर्शी ही रहता है।
![]()
(iv) ऐनिलीन एवं बेन्जिल ऐमीन :
इन्हें नाइट्रस अम्ल परीक्षण द्वारा विभेदित किया जा सकता है। नाइट्रस अम्ल परीक्षण – बेन्जिल ऐमीन नाइट्रस अम्ल से अभिक्रिया करके डाइऐजोनियम लवण बनाती है जो कम ताप पर भी अस्थायी होने के कारण N2, के विमुक्तन के साथ विघटित हो जाता है।

ऐनिलीन HNO2, से अभिक्रिया करके बेन्जीन डाइऐजोनियम क्लोराइड बनाती है जो 273 – 278 K पर स्थायी होता है, इसलिए विघटित होकर नाइट्रोजन गैस नहीं देता है।

(v) ऐनिलीन एवं N-मेथिल ऐनिलीन :
इनमें कार्बिलऐमीन परीक्षण द्वारा विभेद किया जा सकता है। ऐनिलीन प्राथमिक ऐमीन होने के कारण कार्बिलऐमीन परीक्षण देती है अर्थात् ऐल्कोहॉलिक KOH विलयन तथा CHCl3 के साथ गर्म करने पर यह फेनिल आइसोसायनाइड की हानिकारक गन्ध देती है। इसके विपरीत, N – मेथिल ऐनिलीन द्वितीयक ऐमीन होने के कारण यह परीक्षण नहीं देती।

प्रश्न 3.
निम्नलिखित के कारण बताइए
(i) ऐनिलीन का pKb मेथिल ऐमीन की तुलना में अधिक होता है।
(ii) एथिल ऐमीन जल में विलेय है, जबकि ऐनिलीन नहीं।
(iii) मेथिल ऐमीन फेरिक क्लोराइड के साथ जल में अभिक्रिया करने पर जलयोजित फेरिक ऑक्साइड का अवक्षेप देती है।
(iv) यद्यपि ऐमीनो समूह इलेक्ट्रॉनरागी प्रतिस्थापन अभिक्रियाओं में ऑर्थों एवं पैरा-निर्देशक होता है, फिर भी ऐनिलीन नाइट्रीकरण द्वारा यथेष्ट मात्रा में मेटा-नाइट्रोऐनिलीन देती है।
(v) ऐनिलीन फ्रीडेल-क्राफ्ट्स अभिक्रिया प्रदर्शित नहीं करती।
(vi) ऐरोमैटिक ऐमीनों के डाइऐजोनियम लवण ऐलिफैटिक ऐमीनों से प्राप्त लवण से अधिक स्थायी होते हैं।
(vii) प्राथमिक ऐमीन के संश्लेषण में गैब्रिएल थैलिमाइड संश्लेषण को प्राथमिकता दी जाती
उत्तर :
(i) ऐनिलीन, मेथिलऐमीन से अधिक दुर्बल क्षार होती है। ऐनिलीन में N – परमाणु पर एकाकी युग्म इलेक्ट्रॉन बेन्जीन वलय पर विस्थानीकृत हो जाता है जिसके परिणामस्वरूप नाइट्रोजन पर इलेक्ट्रॉन घनत्व घट जाता है। दूसरी ओर, मेथिलऐमीन में CH3 समूह के + I प्रभाव के कारण N-परमाणु पर इलेक्ट्रॉन घनत्व बढ़ जाता है। अत: ऐनिलीन मेथिलऐमीन से दुर्बल क्षार होता है, अत: इसका pKb, मान मेथिलऐमीन से उच्च होता है।
(ii) एथिलऐमीन जल के अणुओं के साथ हाइड्रोजन आबन्ध बनाने के कारण जल में विलेय होती है।
image 18
दूसरी ओर, ऐनिलीन जल में वृहत् हाइड्रोकार्बन भाग C6 H5 के कारण अविलेय होता है, क्योंकि यह हाइड्रोजन आबन्ध नहीं बनाता है।
(iii) मेथिलऐमीन जल से अधिक क्षारीय होने के कारण जल से प्रोटॉन ग्रहण करके OH– आयन मुक्त करती है।

ये OH– आयन जल में उपस्थित Fe3+ आयनों से संयुक्त होकर जलयोजित फेरिक ऑक्साइड का भूरा अवक्षेप देती हैं।

(iv) नाइट्रीकरण की प्रक्रिया सान्द्र HNO3 तथा सान्द्र H2SO4 के मिश्रण की उपस्थिति में होती है। इन अम्लों की उपस्थिति में अधिकांश ऐनिलीन प्रोटॉनीकृत होकर ऐनिलीनियम आयन बनाती है। अतः । अम्लों की उपस्थिती में अभिक्रिया मिश्रण में ऐनिलीन और ऐनिलीनियम आयन होते हैं -NH2, समूह ऐनिलीन में ऑर्थों तथा पैरा निर्देशक होता है तथा सक्रियक (dactivating) होता है, जबकि ऐनिलीनियम आयन में समूह मेटा निर्देशक तथा निष्क्रियकारक होता है। ऐनिलीन के नाइट्रीकरण से p-नाइट्रोऐनिलीन प्राप्त होती है, जबकि ऐनिलीनियम आयन मेटा नाइट्रोऐनिलीन देता है।

अतः ऐनिलीन का नाइट्रीकरण ऐमीनो समूह के प्रोटॉनीकरण द्वारा m – नाइट्रोऐनिलीन देता है।
(v) ऐल्किलीकरण तथा ऐसिलीकरण की तरह ऐनिलीन फ्रीडल-क्राफ्ट्स अभिक्रिया नहीं देती है क्योंकि यह एलुमिनियम क्लोराइड जो कि उत्प्रेरक के रूप में प्रयुक्त होता है (लुईस अम्ल) के साथ लवण बनाती है। इस नाइट्रोजन परमाणु के कारण ऐनिलीन -NH2, समूह के नाइट्रोजन परमाणु पर धनावेश आ जाता है अतः यह पुनः अभिक्रिया के लिए प्रबल निष्क्रियकारक समूह का कार्य करता है।
(vi) ऐरोमैटिक ऐमीनों के डाइऐजोनियम लवण ऐलिफैटिक ऐमीनों के लवणों से अधिक स्थायी होते हैं। क्योंकि निम्न ताप पर ऐलिफैटिक ऐमीनों के डाइऐजोनियम लवण वियोजित होकर नाइट्रोजन गैस देते हैं।

(vii) गैब्रिएल थैलिमाइड अभिक्रिया से शुद्ध प्राथमिक ऐमीन प्राप्त होती है। अतएव, इसका प्रयोग प्राथमिक ऐमीनों के संश्लेषण में किया जाता है।
प्रश्न 4.
निम्नलिखित को क्रम में लिखिए
(i) pKb, मान के घटते क्रम में
C2H5NH2, C6H5NHCH3, (C2H5)2 NH एांव C6H5NH2,
(ii) क्षारकीय प्राबल्य के घटते क्रम में
C6H5NH2, C6H5N(CH3)2, (C2H5)2 NH, एांव CH3NH2
(iii) क्षारकीय प्राबल्य के बढ़ते क्रम में
(क) ऐनिलीन, पैरा-नाइट्रोऐनिलीन एवं पैरा-टॉलूडीन
(ख)C6H5NH2, C6H5NHCH3, C6H5CH2NH2
(iv) गैस अवस्था में घटते हुए क्षारकीय प्राबल्य के क्रम में
C2H5NH2, (C2H5)2 NH, (C2H5)3 N एवं NH3
(v) क्वथनांक के बढ़ते क्रम में
C2H5OH, (CH3)2NH, C6H5NH2
(vi) जल में विलेयता के बढ़ते क्रम में
C2H5NH2, (C2H5)2 NH, C2H5NH2
उत्तर :

प्रश्न 5.
इन्हें आप कैसे परिवर्तित करेंगे
(i) एथेनोइक अम्ल को मेथेनेमीन में
(ii) हेक्सेननाइट्राइल को 1-ऐमीनोपेन्टेन में
(iii) मेथेनॉल को एथेनोइक अम्ल में
(iv) एथेनेमीन को मेथेनेमीन में
(v) एथेनोइक अम्ल को प्रोपेनोइक अम्ल में
(vi) मेथेनेमीन को एथेनेमीन में
(vii) नाइट्रोमेथेन को डाइमेथिल ऐमीन में
(viii) प्रोपेनोइक अम्ल को एथेनोइक अम्ल में?
उत्तर :



प्रश्न 6.
प्राथमिक, द्वितीयक एवं तृतीयक ऐमीनों की पहचान की विधि का वर्णन कीजिए। इन अभिक्रियाओं के रासायनिक समीकरण भी लिखिए।
उत्तर :
बेन्जीन सल्फोनिल क्लोराइड (C6H5SO4Cl), जिसे हिन्सबर्ग अभिकर्मक भी कहा जाता है, प्राथमिक और द्वितीयक ऐमीनों से अभिक्रिया करके सल्फोनेमाइड बनाता है।
(i) बेन्जीन सल्फोनिल क्लोराइड और प्राथमिक ऐमीन की अभिक्रिया से N-एथिलबेन्जीन सल्फोनेमाइड प्राप्त होता है।

सल्फोनेमाइड की नाइट्रोजन से जुड़ी हाइड्रोजन प्रबल इलेक्ट्रॉन खींचने वाले सल्फोनिल समूह की उपस्थिति के कारण प्रबल अम्लीय होती है, अत: यह क्षार में विलेय होता है।
(ii) द्वितीयक ऐमीन की अभिक्रिया से N,N-डाइएथिलबेन्जीनसल्फोनेमाइड बनता है।

N, N – डाइएथिलबेन्जीन सल्फोनेमाइड N, N – डाइएथिलबेन्जीन सल्फोनेमाइड में कोई भी हाइड्रोजन परमाणु नाइट्रोजन परमाणु से नहीं जुड़ा है। अत: यह अम्लीय नहीं होता तथा क्षार में अविलेय होता है।
(iii) तृतीयक ऐमीन बेन्जीन सल्फोनिल क्लोराइड से अभिक्रिया नहीं करती। विभिन्न वर्गों के ऐमीनों का यह गुण जिसमें वे बेन्जीन सल्फोनिल क्लोराइड से भिन्न-भिन्न प्रकार से अभिक्रिया करती हैं, प्राथमिक, द्वितीयक एवं तृतीयक ऐमीनों में विभेद करने एवं इन्हें मिश्रण से पृथक् करने में प्रयुक्त होता है। यद्यपि आजकल बेन्जीन सल्फोनिल क्लोराइड के स्थान पर p – टॉलूईन सल्फोनिल क्लोराइड का प्रयोग होता है।
प्रश्न 7.
निम्नलिखित पर लघु टिप्पणी लिखिए
(i) कार्बिलऐमीन अभिक्रिया (2014, 16, 17)
(ii) डाइऐजोकरण (2015)
(iii) हॉफमान ब्रोमेमाइड अभिक्रिया (2018)
(iv) युग्मन अभिक्रिया
(v) अमोनीअपघटन
(vi) ऐसीटिलन
(vii) गैब्रिएल थैलिमाइड संश्लेषण।
उत्तर :
(i) काबिलऐमीन अभिक्रिया (Carbylamine Reaction) :
जब ऐलिफैटिक या ऐरोमैटिक प्राथमिक ऐमीन (जैसे – ऐनिलीन, एथिल या मेथिल ऐमीन) को ऐल्कोहॉलीय KOH की उपस्थिति में क्लोरोफॉर्म की कुछ बूंदों के साथ गर्म किया जाता है तो तीव्र दुर्गन्धयुक्त आइसोसायनाइड प्राप्त होता है। इस अभिक्रिया को कार्बिलऐमीन अभिक्रिया कहते हैं। इसका उपयोग प्राथमिक ऐमीन समूह की उपस्थिति ज्ञात करने में होता है।
उदाहरण :

(ii) डाइऐजोकरण अभिक्रिया (Diazotisation Reaction) :
वह क्रिया जिसमें ऐरोमैटिक प्राथमिक ऐमीन सोडियम नाइट्राइट व तनु HCl के मिश्रण (तनु खनिज अम्ल) के साथ 273 से 278 K ताप पर अभिक्रिया द्वारा ऐमीनो समूह को डाइऐजो समूह में परिवर्तित करते हों, डाइऐजोकरण अभिक्रिया कहलाती है।

उदाहरण :
ऐनिलीन को सोडियम नाइट्राइट व तनु HCl के मिश्रण के साथ 273 से 278 K ताप पर अभिकृत करने पर बेन्जीन डाइऐजोनियम क्लोराइड बनता है।

(iii) हॉफमान ब्रोमेमाइड अभिक्रिया (Hofmann’s Bromamide Reaction) :
वह अभिक्रिया जिसमें ऐलिफैटिक या ऐरोमैटिक ऐसिड ऐमाइड द्रव ब्रोमीन के साथ कास्टिक पोटाश के जलीय विलयन की उपस्थिति में अभिक्रिया करके प्राथमिक ऐमीन (1C कम का) बनाते हैं, तो यह अभिक्रिया हॉफमान ब्रोमेमाइड अभिक्रिया कहलाती है। इस अभिक्रिया की सहायता से – CONH2, समूह को -NH2, समूह में परिवर्तित किया जाता है।

इस अभिक्रिया में ऐसीटेमाइड, प्रोपिल ऐमाइड तथा बेन्जेमाइड को क्रमशः मेथिल ऐमीन, एथिल ऐमीन । तथा ऐनिलीन में परिवर्तित किया जा सकता है। यह अभिक्रिया निम्नलिखित पदों में होती है

(iv) युग्मन अभिक्रिया (Coupling Reaction) :
डाइऐजोनियम लवणों की फीनॉलों तथा ऐरोमैटिक ऐमीनों के साथ अभिक्रिया जिससे सामान्य सूत्र, Ar – N = N – Ar के ऐजो यौगिक बनते हैं। युग्मन अभिक्रियाएँ कहलाती हैं। इस अभिक्रिया में डाइऐजो समूह का नाइट्रोजन परमाणु उत्पाद में भी उपस्थित रहता है। फीनॉलों के साथ युग्मन अल्प क्षारीय माध्यम में होता है, जबकि ऐमीनों के साथ यह पर्याप्त अम्लीय माध्यम में होता है।
उदाहरणार्थ :
बेन्जीन डाइऐजोनियम क्लोराइड फीनॉल से अभिक्रिया करके इसके पैरा स्थान पर युग्मित होकर पैरा हाइड्रॉक्सीऐजोबेन्जीन बनाता है। इसी प्रकार की अभिक्रिया को युग्मन अभिक्रिया कहते हैं। इसी प्रकार से डाइऐजोनियम लवण की ऐनिलीन से अभिक्रिया द्वारा पैरा-ऐमीनोऐजोबेन्जीन बनती है। यह एक इलेक्ट्रॉनरागी अभिक्रिया का उदाहरण है।

युग्मन सामान्यतया पैरा स्थिति [हाइड्रॉक्सिल अथवा ऐमीनो समूह के सापेक्ष (यदि मुक्त है)] पर होता है, अन्यथा यह ऑर्थो स्थिति पर होता है।
(v) अमोनीअपघटन (Ammonolysis) :
ऐल्किल अथवा बेन्जिल हैलाइडों में कार्बन-हैलोजेन आबन्ध नाभिकरागी द्वारा सरलता से विदलित हो जाता है, इसलिए ऐल्किल अथवा बेन्जिल हैलाइड अमोनिया के एथेनॉलिक विलयन से नाभिकरागी प्रतिस्थापन अभिक्रिया करते हैं जिसमें हैलोजेन परमाणु ऐमीनो (NH2) समूह से प्रतिस्थापित हो जाता है। अमोनिया अणु द्वारा C-X आबन्ध के विदलन की प्रक्रिया को अमोनीअपघटन (ammonolysis) कहते हैं। यह अभिक्रिया 373 K ताप पर सील बन्द नलिका में कराते हैं। इस प्रकार से प्राप्त प्राथमिक ऐमीन नाभिकरागी की तरह व्यवहार करती है और पुनः ऐल्किल हैलाइड से अभिक्रिया करके द्वितीयक एवं तृतीयक ऐमीन तथा अन्तत: चतुष्क अमोनियम लवण बना सकती है।

इस अभिक्रिया में हैलाइडों की ऐमीनों से अभिक्रियाशीलता का क्रम RI > RBr > RCI होता है। अमोनियम लवण से मुक्त ऐमीन प्रबल क्षार द्वारा अभिक्रिया से प्राप्त की जा सकती है।

अमोनीअपघटन में यह असुविधा है कि इससे प्राथमिक, द्वितीयक एवं तृतीयक ऐमीन तथा चतुष्क अमोनियम लवण का मिश्रण प्राप्त होता है। यद्यपि अमोनिया आधिक्य में लेने पर प्राप्त मुख्य उत्पाद प्राथमिक ऐमीन हो सकता है।
(vi) ऐसीटिलन या ऐसीटिलीकरण (Acetylation) :
किसी –OH या –NH, समूह के हाइड्रोजन परमाणु का ऐसीटिल (CH3CO) समूह द्वारा विस्थापन ऐसीटिलन या ऐसीटिलीकरण कहलाता है। यह प्रक्रम ऐसीटिल क्लोराइड (CH3COCI), ऐसीटिक ऐनहाइड्राइड या ग्लेशियल ऐसीटिक अम्ल द्वारा किया जाता है।
उदाहरण :

इस प्रक्रम का उपयोग ऐमीनो तथा हाइड्रॉक्सी समूहों की संख्या ज्ञात करने में होता है।
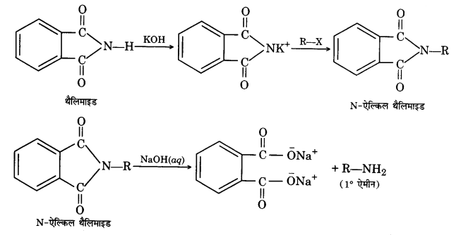
(vii) गैब्रिएल थैलिमाइड संश्लेषण (Gabriel Phthalimide Synthesis) :
गैब्रिएल संश्लेषण का प्रयोग प्राथमिक ऐमीनों के विरचन के लिए किया जाता है। थैलिमाइड एथेनॉलिक पोटैशियम हाइड्रॉक्साइड से अभिक्रिया द्वारा थैलिमाइड का पोटैशियम लवण बनाता है जो ऐल्किल हैलाइड के साथ गर्म करने के पश्चात् क्षारीय जल-अपघटन द्वारा संगत प्राथमिक ऐमीन उत्पन्न करता है।

ऐरोमैटिक प्राथमिक ऐमीन इस विधि से नहीं बनाई जा सकती क्योंकि ऐरिल हैलाइड थैलिमाइड से प्राप्त ऋणायन के साथ नाभिकरागी प्रतिस्थापन अभिक्रिया नहीं कर सकते।
प्रश्न 8.
निम्नलिखित परिवर्तन निष्पादित कीजिए
(i) नाइट्रोबेन्जीन से बेन्जोइक अम्ल
(ii) बेन्जीन से m-ब्रोमोफीनॉल
(iii) बेन्जोइक अम्ल से ऐनिलीन
(iv) ऐनिलीन से 2,4,6-ट्राइब्रोमोफ्लुओरोबेन्जीन
(v) बेन्जिल क्लोराइड से 2 – फेनिलएथेनेमीन
(vi) क्लोरोबेन्जीन से p – क्लोरोऐनिलीन
(viii) बेन्जेमाइड से टॉलूईन
(vii) ऐनिलीन से p – ब्रोमोऐनिलीन
(ix) ऐनिलीन से बेन्जिल ऐल्कोहॉल
उत्तर :
(i)




(ix) (vii) के समान ऐनिलीन से अभिक्रिया लिखिए, तब

प्रश्न 9.
निम्नलिखित अभिक्रियाओं में A, B तथा C की संरचना दीजिए

उत्तर :
(i)



प्रश्न 10.
एक ऐरोमैटिक यौगिक ‘A’ जलीय अमोनिया के साथ गर्म करने पर यौगिक ‘B’ बनाता है जो Br2, (ब्रोमीन) एवं KOH के साथ गर्म करने पर अणुसूत्र C6H7N वाला यौगिक ‘C’ बनाता है। A, B एवं C यौगिकों की संरचना एवं इनके आई०यू०पी०ए०सी० नाम। लिखिए।
उत्तर :
चूंकि यह ऐरोमैटिक यौगिक है अत: इसमें बेन्जीन वलय होगी। B, Brतथा KOH के साथ गर्म करने पर (हॉफमान ब्रोमेमाइड अभिक्रिया) यौगिक ‘C’ (अणुसूत्र C6H7N ) बनाता है। केवल उच्च ऐमाइड हॉफमैन ब्रोमेमाइड अभिक्रिया [Br2 +KOH] द्वारा निम्न ऐमीन देते हैं। अतएव B, C6H5CONH2, तथा C, C6H5NH2 , हैं। चूंकि यौगिक C6H5CONH2, A से प्राप्त होता है, अत: A, C6H5COOH (कार्बोक्सिलिक अम्ल) होगा, अभिक्रियाओं का अनुक्रम और A, B तथा C की संरचनाएँ अग्रवत् होंगी

प्रश्न 11.
निम्नलिखित अभिक्रियाओं को पूर्ण कीजिए

उत्तर :


प्रश्न 12.
ऐरोमैटिक प्राथमिक ऐमीन को गैब्रिएल थैलिमाइड संश्लेषण से क्यों नहीं बनाया जा सकता?
उत्तर :
ऐरोमैटिक प्राथमिक ऐमीन गैब्रिएल थैलिमाइड संश्लेषण द्वारा नहीं बनाई जा सकती क्योंकि ऐरिल हैलाइड थैलिमाइड द्वारा निर्मित ऋणीयन के साथ नाभिकस्नेही प्रतिस्थापने अभिक्रियाएँ नहीं देते हैं।

प्रश्न.13.
ऐलिपैटिक एवं ऐरोमैटिक प्राथमिक ऐमीनों की नाइट्रस अम्ल से अभिक्रिया लिखिए।
उत्तर :
(i) ऐरोमैटिक प्राथमिक ऐमीन HCI की उपस्थिचिभमें माइट्रस अम्ल के साथ अभिक्रिया करके ऐरोमैटिक डाइऐजोनियम लवण बनाती हैं।

(ii) ऐलिफैटिक प्राथमिक ऐमीन नाइट्रस अम्ल से अभिक्रिया करके प्राथमिक ऐल्कोहॉल तथानाइट्रोजन गैस देती हैं।

प्रश्न 14.
निम्नलिखित में प्रत्येक का सम्भावित कारण बताइए
(i) समतुल्य अणु द्रव्यमान वाले ऐमीनों की अम्लता ऐल्कोहॉलों से कम होती है।
(ii) प्राथमिक ऐमीनों का क्वथनांक तृतीयक ऐमीनों से अधिक होता है।
(iii) ऐरोमैटिक ऐमीनों की तुलना में ऐलिफैटिक ऐमीन प्रबल क्षारक होते हैं।
उत्तर :
(i) किसी ऐमीन से एक प्रोटॉन निकलने पर ऐमाइड आयन प्राप्त होता है, जबकि ऐल्कोहॉल से एक प्रोटॉन निकलने पर ऐल्कॉक्साइड आयन प्राप्त होता है जैसा कि निम्नवत् दर्शाया गया है

चूँकि N की तुलना में 0 अधिक विद्युतऋणात्मक है, इसलिए RO–° पर ऋणावेश RNH–° की तुलना में अधिक सरलता से रह सकता है। दूसरे शब्दों में, ऐमीन ऐल्कोहॉल से कम अम्लीय होती हैं।
(ii) प्राथमिक ऐमीनों के N-परमाणुओं पर दो हाइड्रोजन परमाणुओं की उपस्थिति के कारण ये विस्तीर्ण अन्तराअणुक हाइड्रोजन आबन्ध दर्शाती हैं, जबकि तृतीयक ऐमीन में नाइट्रोजन पर हाइड्रोजन अणुओं के अभाव के कारण अन्तराआण्विक संघटन नहीं होता। इसलिए प्राथमिक ऐमीनों का क्वथनांक तृतीयक ऐमीनों से अधिक होता है।
उदाहरणार्थ :
n-ब्यूटिलऐमीन का क्वथनांक (351 K) तृतीयक ब्यूटिलऐमीन (क्वथनांक 319 K) से अधिक होता है।

(iii) ऐरोमैटिक ऐमीनों की तुलना में ऐलिफेटिक ऐमीन प्रबल क्षारक होते हैं क्योंकि
(क) ऐरोमैटिक ऐमीनों में अनुनाद के कारण नाइट्रोजन परमाणु का एकाकी इलेक्ट्रॉन-युग्म बेन्जीन वलय पर विस्थानीकृत हो जाता है, इसलिए यह प्रोटॉनीकरण के लिए सरलतापूर्वक उपलब्ध हो जाता है।
(ख) ऐरिल ऐमीन आयनों को स्थायित्व संगत ऐरिल ऐमीनों की तुलना में कम होता है अर्थात् ऐरोमैटिक ऐमीनों का प्रोटॉनीकरण उपयुक्त नहीं होता है।
परीक्षोपयोगी प्रश्नोत्तर
बहुविकल्पीय प्रश्न
प्रश्न 1.
गैब्रिएल थैलिमाइड संश्लेषण का प्रयोग किसके विरचन के लिए किया जाता है?
(i) 1° ऐमीन
(ii) 2° ऐमीन
(iii) 3° ऐमीन
(iv) ये सभी
उत्तर :
(i) 1° ऐमीन
प्रश्न 2.
क्लोरोफॉर्म तथा ऐल्कोहॉलीय KOH के साथ किसे गर्म करने पर कार्बिलऐमीन की अरुचिकर गन्ध प्राप्त होती है?
(i) कोई ऐरोमैटिक ऐमीन
(ii) कोई प्राथमिक ऐमीन
(iii) कोई ऐमीन
(iv) कोई ऐलिफैटिक ऐमीन
उत्तर :
(ii) कोई प्राथमिक ऐमीन
प्रश्न 3.
निम्न में से किस अभिक्रिया द्वारा ऐमाइड ऐमीन में परिवर्तित किये जा सकते हैं?
(i) पर्किन
(ii) क्ले जन
(iii) हॉफमान ब्रोमेमाइड
(iv) क्लीमेन्सन
उत्तर :
(iii) हॉफमैन ब्रोमेमाइड
प्रश्न 4.
निम्न में से कौन हॉफमान अभिक्रिया द्वारा प्राथमिक ऐमीन देता है?
(i) RCOCI
(ii) RCONHCH3
(iii) RCONH2
(iv) RCOOR
उत्तर :
(iii) RCONH2
प्रश्न 5.
C3H7NH2, NH3, CH3NH2, C2H5NH2 तथा C6H5NH2 , में से सबसे कम क्षारीय यौगिक है।
(i) C3H7NH2
(ii) NH3
(iii) CH3NH2
(iv) C6H5NH2
उत्तर :
(iv) C6H5NH2
प्रश्न 6.
निम्नलिखित में से कौन-सा यौगिक KOH तथा प्राथमिक ऐमीन के साथ गर्म करने पर कार्बिलेमीन परीक्षण देता है?
(i) CHCl3
(ii) CH3Cl
(iii) CH3OH
(iv) CH3 CN
उत्तर :
(i) CHCl3
प्रश्न 7.
निम्न में से कौन-सी ऐमीन नाइट्रस अम्ल के साथ क्रिया करके N, मुक्त नहीं करती है?
(i) ट्राइमेथिलेमीन
(ii) ऐथिलेमीन
(iii) s – ब्यूटिलेमीन
(iv) t – ब्यूटिलेमीन
उत्तर :
(i) ट्राइमेथिलेमीन
प्रश्न 8.
निम्न में से कौन – सी ऐमीन KMnO4, द्वारा संगत नाइट्रोयौगिक में सीधे ऑक्सीकृत हो जाती है?
(i)CH3NH2
(ii) C6H5NH2
(iii) (CH3)2NH
(iv) (CH3)3C– NH2
उत्तर :
(iii) (CH3)2NH
प्रश्न 9.
निम्नलिखित में से धनात्मक कार्बिलेमीन परीक्षण कौन देता है?
(i) 2, 4 – डाइमेथिलेनिलीन
(ii) N, N – डाइमेथिलेनिलीन
(iii) N – मेथिल -o- मेथिलेनिलीन
(iv) p – मेथिलबेन्जिलेमीन
उत्तर :
(i) 2, 4-डाइमेथिलेनिलीन
प्रश्न10.
n – प्रोपिलेमीन वाष्पशील यौगिक X देती है जो ऐल्कोहॉलीय क्षार तथा क्लोरोफॉर्म के साथ गर्म करने पर अरुचिकर गन्ध देती है।xकी संरचना है।
(i) CH3 CH2CH2 CN
(ii) (CH3)2CHCN
(iii) CH3 CH2CH2 NC
(iv) (CH3)2CHNC
उत्तर :
(iii) CH3 CH2CH2 NC
प्रश्न 11.
नाइट्रोबेन्जीन का प्रबल अम्लीय माध्यम में अपचयन करने पर अन्तिम उत्पाद बनता है (2017)
(i) ऐनिलीन
(ii) फेनिल हाइड्रॉक्सिल ऐमीन
(iii) p – ऐमीनो फीनॉल
(iv) ऐजोबेन्जीन
उत्तर :
(i) ऐनिलीन
प्रश्न 12.
नाइट्रोबेन्जीन को कहते हैं (2017)
(i) कसीस का तेल
(ii) मिरवेन का तेल
(iii) सिनेमन ऑयल
(iv) विन्टरग्रीन का तेल
उत्तर :
(ii) मिरवेन का तेल
अतिलघु उत्तरीय प्रश्न
प्रश्न 1.
ऐमीन किन्हें कहते हैं? प्राथमिक, द्वितीयक एवं तृतीयक ऐमीन का एक-एक उदाहरण दीजिए तथा उनके साधारण नाम लिखिए।
उत्तर :
ऐमीन :
अमोनिया के ऐल्किल व्युत्पन्न को ऐल्किल ऐमीन कहते हैं।

प्रश्न 2.
नाइट्रोबेन्जीन के उदासीन माध्यम में अपचयन की अभिक्रिया लिखिए। (2014, 15)
उत्तर :

प्रश्न 3.
क्या होता है जब ऐनिलीन की क्रिया Br, जल से करायी जाती है?
उत्तर :
2, 4, 6 – ट्राइब्रोमोऐनिलीन बनता है।
प्रश्न 4.
क्या होता है जब एथिलेमीन की क्रिया बेन्जेल्डिहाइड से कराते हैं?
उत्तर :
बेन्जेलिडीन एथिलेमीन (शिफ क्षारक) बनता है।
![]()
प्रश्न 5.
मेण्डियस अभिक्रिया को प्रदर्शित कीजिए।
उत्तर :
यह ऐल्किल या ऐरिल सायनाइडों का सोडियम तथा ऐल्कोहॉल के साथ अपचयन है, इससे प्राथमिक (1°) ऐमीन प्राप्त होती है।

प्रश्न 6.
क्या होता है जब बेन्जेमाइड को ब्रोमीन के साथ क्षार की उपस्थिति में गर्म किया जाता है? रासायनिक समीकरण लिखिए।
उत्तर :
ऐनिलीन बनती है।

प्रश्न 7.
आप एथेनेमाइड को मेथेनेमीन में किस प्रकार परिवर्तित करेंगे?
उत्तर :

प्रश्न 8.
क्या होता है जब R – N = C का जल अपघटन अम्लीय माध्यम में किया जाता है? रासायनिक समीकरण लिखिए।
उत्तर :

प्रश्न 9.
निम्न अभिक्रियाओं को पूर्ण कर उनके नाम लिखिए
(i) RNH2 +CHCl3 + 3KOH →
(ii) RCONH2 + Br2 + 4NaOH →
उत्तर :
(i)
![]()
यह अभिक्रिया कार्बिलेमीन अभिक्रिया कहलाती है।
(ii)

इस अभिक्रिया को हॉफमान ब्रोमेमाइड अभिक्रिया या हॉफमान निम्नीकरण अभिक्रिया कहते हैं।
प्रश्न 10.
निम्न में A तथा B को पहचानिए
उत्तर :

प्रश्न 11.
ऐमीनों के क्वथनांक संगत ऐल्केनों से उच्च क्यों होते हैं?
उत्तर :
ऐमीनों के क्वथनांक संगत ऐल्केनों से हाइड्रोजन आबन्धन के कारण उच्च होते हैं। ऐल्केनों में केवल दुर्बल वाण्डरवाल्स बल पाए जाते हैं।
प्रश्न 12.
ट्राइमेथिलेमीन तथा n-प्रोपिलेमीन का अणुभार समान होता है लेकिन ट्राइमेथिलेमीन निम्न ताप (276 K) तथा n-प्रोपिलेमीन अधिक ताप (322 K) पर उबलता है। समझाइए।
उत्तर :
n-प्रोपिलेमीन में N-परमाणु पर दो हाइड्रोजन परमाणु होते हैं, अत: इसका क्वथनांक अन्तरा – आणविक हाइड्रोजन आबन्धन के कारण अधिक होता है। ट्राइमेथिलेमीन (CH3)2N तृतीयक ऐमीन होने के कारण इसमें N-परमाणु पर H-परमाणु नहीं होते हैं। जिसके परिणामस्वरूप इसमें हाइड्रोजन आबन्धन अनुपस्थित होता है तथा इसका क्वथनांक निम्न होता है।
प्रश्न13.
कौन अधिक क्षारीय है-ऐनिलीन या अमोनिया?
उत्तर :
अमोनिया ऐनिलीन से अधिक क्षारीय होती है।
प्रश्न 14.
बेन्जीन वलय पर एक इलेक्ट्रॉन विमोचक प्रतिस्थापी की उपस्थिति किस प्रकार ऐरोमैटिक ऐमीन की क्षारीय सामर्थ्य को प्रभावित करती है?
उत्तर :
ऐरोमैटिक ऐमीन की क्षारीय सामर्थ्य बढ़ती है।
प्रश्न 15.
ऐरोमैटिक ऐमीनों में इलेक्ट्रॉनस्नेही प्रतिस्थापन, बेन्जीन की तुलना में शीघ्रता से क्यों होता है।
उत्तर :
अनुनाद के कारण ऐनिलीन के N-परमाणु पर इलेक्ट्रॉन बेन्जीन वलय पर विस्थानीकृत (delocalised) हो जाते हैं जिसके परिणामस्वरूप बेन्जीन वलय पर इलेक्ट्रॉन घनत्व बढ़ जाता है। दूसरे शब्दों में, ऐनिलीन सक्रिय हो जाती है अत: ऐनिलीन में इलेक्ट्रॉनस्नेही प्रतिस्थापन शीघ्रता से होता है।
प्रश्न16.
क्या होता है जब एथिलेमीन की क्रिया एथिल मैग्नीशियम ब्रोमाइड से कराते हैं?
उत्तर :
एथेन बनती है।
प्रश्न 17.
एथिलेमीन से एथिल आइसोसायनाइड के विरचन के लिए रासायनिक समीकरण लिखिए।
उत्तर :

प्रश्न18.
एथिल ऐमीन की पहचान करने वाला एक रासायनिक परीक्षण लिखिए। (2017)
उत्तर :
C2H5NH2, को CHCl3 और (alc.) KOH के साथ गर्म करने पर तीव्र दुर्गन्ध युक्त पदार्थ एथिल आइसोसायनाइड बनता है।
![]()
प्रश्न19.
ऐमीनोएथेन (एथिलेमीन) किस प्रकार एथेनल (ऐसीटेल्डिहाइड) से प्राप्त करते हैं?
उत्तर :

प्रश्न 20.
निम्न अभिक्रिया को पूर्ण कीजिए
उत्तर :

प्रश्न 21.
ऐमाइड ऐमीनों से अधिक अम्लीय होते हैं, क्यों?
उत्तर :
ऐमाइड ऐमीनों से अधिक अम्लीय होते हैं, क्योंकि -NH, समूह के N-परमाणु में एक एकाकी इलेक्ट्रॉन युग्म उपस्थित होता है, लेकिन एकाकी युग्म में निम्नवत् अनुनाद (resonance) पाया जाता है

+R प्रभाव के कारण –NH, समूह के नाइट्रोजन परमाणु पर एकाकी युग्म इलेक्ट्रॉन की उपलब्धता घटती है जिसके परिणामस्वरूप ऐसिड ऐमाइड ऐमीन से दुर्बल क्षार होते हैं। N-परमाणु पर धनावेश के कारण यह आसानी से प्रोटॉन त्यागकर दुर्बल अम्ल के समान व्यवहार करता है।
प्रश्न 22.
निम्नलिखित को घटते हुए अम्लीयता के क्रम में व्यवस्थित कीजिए
0 – नाइट्रो बेन्जोइक एसिड
p – नाइट्रो बेन्जोइक एसिड
m – नाइट्रो बेन्जोइक एसिड

प्रश्न 23.
सल्फैनेलिक अम्ल के दो महत्त्वपूर्ण उपयोग लिखिए।
उत्तर :
सल्फैनेलिक अम्ल का प्रयोग सल्फा औषधियों तथा रंजकों के निर्माण के लिए किया जाता है।
प्रश्न 24.
बेन्जीन डाइऐजोनियम क्लोराइड से बेन्जोनाइट्राइल के निर्माण का रासायनिक समीकरण लिखिए।
उत्तर :

प्रश्न 25.
अभिक्रिया को पूर्ण कीजिए C6H5NCI+KI →
उत्तर :

प्रश्न 26.
आप बेन्जीन डाइऐजोनियम क्लोराइड को नाइट्रोबेन्जीन में किस प्रकार परिवर्तित करेंगे ?
उत्तर :

प्रश्न 27.
निम्न अभिक्रिया के मुख्य उत्पाद का सूत्र दीजिए
उत्तर :

लघु उत्तरीय प्रश्न
प्रश्न 1.
नाइट्रोबेन्जीन की —NO2, समूह तथा बेन्जीन वलय की एक-एक अभिक्रियाओं के रासायनिक समीकरण लिखिए। (2016)
उत्तर :
NO2, समूह की अभिक्रिया :
नाइट्रोबेन्जीन में नाइट्रोसमूह बेन्जीन वलय से जुड़ा होता है जो एक ऑक्सीकारक समूह है। इस कारण अभिक्रियाओं में इसका अपचयन होता है।
अपचयन :
नाइट्रोबेन्जीन का अपचयन निम्न पदों में होता है

नाइट्रोबेन्जीन का अपचयन उत्पाद माध्यम के pH और अपचायक की प्रकृति पर निर्भर करता है।
बेन्जीन वलय की अभिक्रिया
इलेक्ट्रॉन स्नेही प्रतिस्थापन अभिक्रिया नाइट्रोबेन्जीन में – NO2 समूह बेन्जीन वलय से जुड़ा होता है। नाइट्रीकरण – नाइट्रोबेन्जीन को सान्द्र नाइट्रिक अम्ल तथा सान्द्र सल्फ्यूरिक अम्ल के साथ 95- 100°C पर गर्म करने पर m-डाइनाइट्रो बेन्जीन बनती है।

प्रश्न 2.
एक कार्बनिक यौगिक A के अपचयन से अणुसूत्र C2H7N वाला ऐमीन प्राप्त होता है जो क्लोरोफॉर्म तथा कास्टिक पोटाश के साथ गर्म करने पर तीव्र दुर्गन्ध वाला यौगिक B बनाता है। A तथा B के संरचनात्मक सूत्र तथा नाम लिखिए। (2017)
उत्तर :
प्रश्नानुसार यौगिक A की C6H5NO2, होने की सम्भावना लगती है।

प्रश्न 3.
डाइऐजोनियम लवण क्या है? बेन्जीन डाइऐजोनियम क्लोराइड से क्लोरोबेन्जीन प्राप्त करने की रासायनिक अभिक्रिया लिखिए। (2016)
उत्तर :

दीर्घ उत्तरीय प्रश्न
प्रश्न 1.
प्रयोगशाला में एथिल ऐमीन बनाने की विधि का चित्र सहित वर्णन कीजिए तथा सम्बन्धित अभिक्रिया भी लिखिए। इसके दो रासायनिक गुण भी दीजिए। (2012, 13)
उत्तर :
प्रयोगशाला विधि :
प्रोपिओनेमाइड पर ब्रोमीन तथा कास्टिक पोटाश विलयन (आधिक्य में) की क्रिया कराने से एथिल ऐमीन बनती है। यह क्रिया हॉफमान ब्रोमेमाइड अभिक्रिया कहलाती है और यह निम्नलिखित पदों में होती है

संलग्न चित्रानुसार, एक गोल पेंदी वाले फ्लास्क में 20 ग्राम प्रोपिओनेमाइड और 18 मिली ब्रोमीन लेकर ठण्डा करते हैं, फिर इसमें 10% KOH का 200 मिली विलयन मिलाते हैं। मिश्रण को तब तक हिलाते रहते हैं जब तक कि ब्रोमो प्रोपिओनेमाइड के कारण पीले रंग का विलयन न बन जाए। अब इसमें 50% KOH को 100 मिली विलयन पृथक्कारी कीप से डालकर जल ऊष्मक पर 60-70°C पर गर्म करते हैं जिससे विलयन रंगहीन हो जाए। तत्पश्चात् फ्लास्क के द्रव का आसवन करते हैं जिससे एथिल ऐमीन गैस निकलती है जो ग्राही में रखे तनु HCI से क्रिया करके एथिल ऐमीन हाइड्रोक्लोराइड का विलयन देती है। इसे तनु KOH विलयन से क्रिया कराकर एथिल ऐमीन प्राप्त कर ली जाती है। एथिल ऐमीन के रासायनिक गुण
(i) ऐसीटिल क्लोराइड से अभिक्रिया :
प्रतिस्थापित ऐमाइड बनाता है।
![]()
(ii) ऐल्कोहॉलीय कास्टिक पोटाश तथा क्लोरोफॉर्म के साथ क्रिया करके एथिल आइसोसायनाइड (C2H5NC) बनता है।

प्रश्न 2.
प्रयोगशाला में ऐनिलीन बनाने की विधि का वर्णन कीजिए। सम्बन्धित रासायनिक समीकरण भी दीजिए तथा इसका प्रमुख रासायनिक गुण एवं उपयोग भी बताइए।
उत्तर :
प्रयोगशाला विधि प्रयोगशाला में नाइट्रोबेन्जीन का टिन तथा सान्द्र हाइड्रोक्लोरिक अम्ल द्वारा अपचयन करने से ऐनिलीन प्राप्त होती है।

उपर्युक्त अभिक्रिया में बनी ऐनिलीन, स्टैनिक क्लोराइड और हाइड्रोक्लोरिक अम्ल से संयोग करके ऐनिलीन स्टैनिक क्लोराइड नामक ठोस लवण बनाती है।

जब इस ठोस लवण को कास्टिक सोड़े के सान्द्र विलयन के साथ हिलाते हैं तो ऐनिलीन काले रंग के तेल के रूप में पृथक् हो जाती है।

मिश्रण का भाप आसवन करने पर ऐनिलीन आसुत में आ जाती है।
रासायनिक गुण
1. कार्बिल ऐमीन अभिक्रिया :
फेनिल आइसोसायनाइड बनता है।
![]()
2. ऐल्डिहाइडों के साथ अभिक्रिया :
बेन्जिलीडीनऐनिलीन बनता है।
![]()
3. ग्रिगनार्ड अभिकर्मक के साथ अभिक्रिया-ऐनिलीन ग्रिगनार्ड अभिकर्मक के साथ अभिक्रिया करके हाइड्रोकार्बन बनाती है।
C2H5MgBr + C6H5NH2 → C2H6 + C6H5NHMgBr
पयोग :
- दवाइयाँ तथा सल्फा औषधियों के निर्माण में
- ऐजोरंजक बनाने में मध्यवर्ती यौगिक के रूप में
- रबड़ उत्पाद बनाने में
- फेनिल आइसोसायनेट बनाने में जिसका उपयोग पॉलियूरिथेन नामक प्लास्टिक बनाने में होता है।
प्रश्न 3.
प्रयोगशाला में नाइट्रोबेन्जीन बनाने की विधि का वर्णन कीजिए तथा सम्बन्धित रासायनिक समीकरण भी लिखिए। इसके प्रमुख रासायनिक गुण एवं उपयोग भी बताइए।
उत्तर :
प्रयोगशाला विधि प्रयोगशाला में नाइट्रोबेन्जीन बेन्जीन को सान्द्र नाइट्रिक अम्ल और सान्द्र सल्फ्यूरिक अम्ल के मिश्रण के साथ 50- 60°C ताप पर गर्म करके बनाते हैं।

विधि :
एक गोल पेंदी के फ्लास्क में बेन्जीन (60 मिली) लेकर उसमें धीरे-धीरे सान्द्र नाइट्रिक अम्ल (60 मिली) और सान्द्र सल्फ्यूरिक अम्ल (90 मिली) का ठण्डा मिश्रण मिलाते हैं। फ्लास्क में एक सीधा खड़ा हुआ वायु संघनित्र लगाकर मिश्रण को जल-ऊष्मक पर 50- 60°C पर लगभग 1 घण्टे तक गर्म करते हैं। नाइट्रोबेन्जीन बनती है और अम्ल के ऊपर पीले रंग के द्रव की परत के रूप में एकत्रित हो जाती है। फ्लास्क को ठण्डा करके एक पृथक्कारी फनल की सहायता से अम्ल की परत को नाइट्रोबेन्जीन की परत से अलग कर देते हैं। नाइट्रोबेन्जीन को क्रमशः सोडियम कार्बोनेट विलयन और जल से धोकर निर्जल कैल्सियम क्लोराइड के ऊपर सुखाते हैं। फिर एक सूखे हुए वायु-संघनित्र लगे आसवन फ्लास्क में उसका आसवन करते हैं। शुद्ध नाइट्रोबेन्जीन 208- 211°C ताप रेन्ज में आसवित होकर ग्राही में एकत्रित हो जाती है।
रासायनिक गुण
अपचयन :
नाइट्रोबेन्जीन का अपचयन निम्नलिखित पदों में होता है

नाइट्रोबेन्जीन का अपचयन उत्पाद माध्यम के pH और अपचायक की प्रकृति पर निर्भर करता है।
1. अम्लीय माध्यम में अपचयन :
टिन और हाइड्रोक्लोरिक अम्ल (Sn + HCl), या आयरन और हाइड्रोक्लोरिक अम्ल (Fe+ HCl), द्वारा नाइट्रोबेन्जीन का ऐनिलीन में अपचयन होता है।

2. उदासीन माध्यम में अपचयन :
ऐलुमिनियम-मर्करी युग्म और जल, या जिंक चूर्ण और अमोनियम क्लोराइड (Zn + NH4Cl), द्वारा नाइट्रोबेन्जीन का फेनिलहाइड्रॉक्सिल ऐमीन में
अपचयन होता है।

बेन्जीन वलय की प्रतिस्थापन अभिक्रियाएँ।
1. सल्फोनीकरण :
नाइट्रोबेन्जीन को सधूम सल्फ्यूरिक अम्ल के साथ गर्म करने पर m-नाइट्रोबेन्जीनसल्फोनिक अम्ल बनता है।

2. हैलोजनीकरण :
नाइट्रोबेन्जीन की क्लोरीन के साथ क्रिया कराने पर m-क्लोरोनाइट्रोबेन्जीन बनती

उपयोग :
- विलायक के रूप में।
- मिरबेन के तेल के नाम से जूतों की पॉलिश और साबुन बनाने में सस्ती सुगन्ध के रूप में।
- ऐनिलीन और ऐजो-रंजकों (azo-dyes) के निर्माण में।
- ऑक्सीकारक के रूप में।