UP Board Solutions for Class 12 Maths Chapter 6 Application of Derivatives
प्रश्नावली 7.1
निम्नलिखित फलनों के प्रतिअवकलज ( समाकलन) निरीक्षण विधि द्वारा ज्ञात कीजिए।
प्रश्न 1.
sin 2x
हल-
∫sin 2x dx
हम जानते हैं कि, cos2x = -2 sin 2x

प्रश्न 2.
cos 3x
हल-
∫cos 3x dx
हम जानते हैं कि,

प्रश्न 3.
e2x
हल-
∫e2x dx
हम जानते हैं कि,

प्रश्न 4.
(ax + b)²
हल-
∫(ax + b)² dx
हम जानते हैं कि,

प्रश्न 5.
sin 2x – 4e3x
हल-
∫(sin 2x -4e3x) dx = ∫sin 2x dx – 4∫e3x …(1)

निम्नलिखित समाकलनों को ज्ञात कीजिए।
प्रश्न 6.
∫(4e3x + 1) dx
हल-

प्रश्न 7.

हल-

प्रश्न 8.
∫(ax² + bx + c) dx
हल-
∫(ax² + bx + c) dx = a∫x²dx + b∫xdx + c∫1 dx

प्रश्न 9.
∫(2x² + ex) dx
हल-
∫(2x² + ex) dx = 2∫x² dx + ∫ex dx

प्रश्न 10.

हल-

प्रश्न 11.

हल-

प्रश्न 12.

हल-

प्रश्न 13.
![]()
हल-

प्रश्न 14.
∫(1-x)√x dx
हल-
∫(1-x)√x dx
=∫(√x-x√x)dx

प्रश्न 15.
∫√x(3x² + 2x + 3)dx
हल-
∫√x(3x² + 2x + 3)dx

प्रश्न 16.
∫(2x – 3cosx + ex)dx
हल-
∫(2x – 3cosx + ex)dx

प्रश्न 17.
∫(2x² – 3sinx + 5√x)dx
हल-
∫(2x² – 3sinx + 5√x)dx
= 2∫x² dx – 3 ∫ sinx dx + 5∫√x dx


प्रश्न 18.
∫secx (sec x + tan x) dx
हल-
∫sec x (sec x + tan x) dx
= ∫(sec² x + sec x tan x) dx
= ∫(sec² x dx
= ∫sec x tan x dx
tan x + sec x + C
प्रश्न 19.

हल-

प्रश्न 20.
![]()
हल-

प्रश्न 21 एवं 22 में सही उत्तर का चयन कीजिए
प्रश्न 21

हल-

प्रश्न 22

हल-


प्रश्नावली 7.2
प्रश्न 1 से 37 तक के प्रश्नों में प्रत्येक फलने का समाकलन ज्ञात कीजिए
प्रश्न 1.
![]()
हल-

प्रश्न 2.

हल-

प्रश्न 3.
![]()
हल-

प्रश्न 4.
sin x sin (cos x)
हल-
मानी I = ∫ sin x sin (cos x) dx …(1)
माना cos x = t, दोनों पक्षों का x के सापेक्ष अवकलन करने पर,
– sin x dx = dt ⇒ sin x dx = – dt
∴(1) से, I = ∫sin (cos x) (sin x) dx = -∫sint dt
= cos t + C = cos (cos x) + C
प्रश्न 5.
sin (ax + b) cos (ax + b)
हल-
माना I = ∫sin (ax + b) cos (ax + b) dx
माना sin (ax + b) = t, दोनों पक्षों का x के सापेक्ष अवकलन करने पर,
a cos (ax + b) dx = dt

प्रश्न 6.
![]()
हल-

प्रश्न 7.
![]()
हल-

प्रश्न 8.
![]()
हल-


प्रश्न 9.
![]()
हल-

प्रश्न 10.
![]()
हल-

प्रश्न 11.

हल-

प्रश्न 12.
(x3 – 1)1/3 x5
हल-


प्रश्न 13.

हल-

प्रश्न 14
![]()
हल-

प्रश्न 15

हल-

प्रश्न 16.
e2x+3
हल-
![]()
प्रश्न 17.
![]()
हल-

प्रश्न 18.

हल-

प्रश्न 19.

हल-

प्रश्न 20.
![]()
हल-

प्रश्न 21.
tan²(2x – 3)
हल-

प्रश्न 22.
sec²(7 – 4x)
हल-
माना
I = ∫sec²(7 – 4x) …(1)
माना 7 – 4x = t, दोनों पक्षों का x के सापेक्ष अवकलन करने पर,

प्रश्न 23.

हल-

प्रश्न 24.
![]()
हल-

प्रश्न 25.

हल-

प्रश्न 26.

हल-

प्रश्न 27.
![]()
हल-

प्रश्न 28.

हल-

प्रश्न 29.
cot x log sin x
हल-

प्रश्न 30.
![]()
हल-

प्रश्न 31.

हल-

प्रश्न 32.
![]()
हल-

प्रश्न 33.
![]()
हल-


प्रश्न 34.

हल-

प्रश्न 35.
![]()
हल-

प्रश्न 36.

हल-

प्रश्न 37.

हल-


प्रश्न 38.

हल-

प्रश्न 39.

हल-

प्रश्नावली 7.3
निर्देश- 1 से 22 तक के प्रश्नों में प्रत्येक का समाकलन ज्ञात कीजिए।
प्रश्न 1.
sin² (2x + 5)
हल-
माना I = ∫sin ² (2x + 5) dx

प्रश्न 2.
sin 3x cos 4x dx
हल-

प्रश्न 3.
cos 2x cos 4x cos 6x dx
हल-
cos 2x cos 4x cos 6x dx

प्रश्न 4.
sin3 (2x + 1)
हल-
माना I = ∫sin3 (2x + 1) dx

प्रश्न 5.
sin3x cos3x
हल-

प्रश्न 6.
sinx sin2x sin3x
हल-
माना I = ∫sinx sin2x sin3x

प्रश्न 7.
sin 4x sin 8x
हल-

प्रश्न 8.
![]()
हल-

प्रश्न 9.
![]()
हल-

प्रश्न 10.
sin x4 dx
हल-

प्रश्न 11.
cos4 2x
हल-

प्रश्न 12.
![]()
हल-
माना

= ∫(1-cosx)dx = ∫1 dx – ∫ cosx dx
= x – sinx +C
प्रश्न 13.
![]()
हल-


प्रश्न 14.
![]()
हल-

प्रश्न 15.
tan3 2x sec 2x
हल-

प्रश्न 16.
tan4 x
हल-

प्रश्न 17.

हल-

प्रश्न 18.

हल-

प्रश्न 19.

हल-

![]()
प्रश्न 20.

हल-


प्रश्न 21.
sin-1 (cosx)
हल-

प्रश्न 22.
![]()
हल-

प्रश्न 23.

हल-

प्रश्न 24.

हल-

प्रश्नावली 7.4
प्रश्न 1 से 23 तक के फलनों का समाकलन कीजिए।
प्रश्न 1.

हल-

प्रश्न 2.
![]()
हल-

प्रश्न 3.

हल-

प्रश्न 4.

हल-

प्रश्न 5.

हल-

प्रश्न 6.

हल-

प्रश्न 7.

हल-


प्रश्न 8.

हल-

![]()
प्रश्न 9.

हल-

प्रश्न 10.

हल-

प्रश्न 11.
![]()
हल-

प्रश्न 12.

हल-

प्रश्न 13.

हल-


प्रश्न 14.

हल-

प्रश्न 15.

हल-

![]()
प्रश्न 16.

हल-

प्रश्न 17.

हल-

प्रश्न 18.

हल-



प्रश्न 19.

हल-



![]()
प्रश्न 20.

हल-

प्रश्न 21.

हल-

प्रश्न 22.

हल-


प्रश्न 23.
![]()
हल-

![]()
प्रश्न 24.

हल-

प्रश्न 25.

हल-

प्रश्नावली 7.5
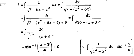
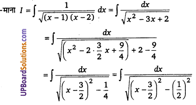
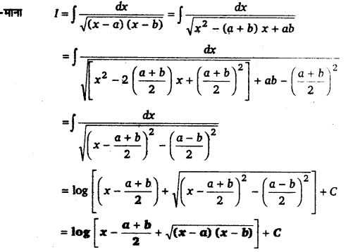
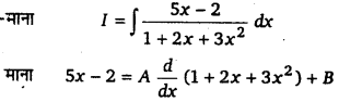
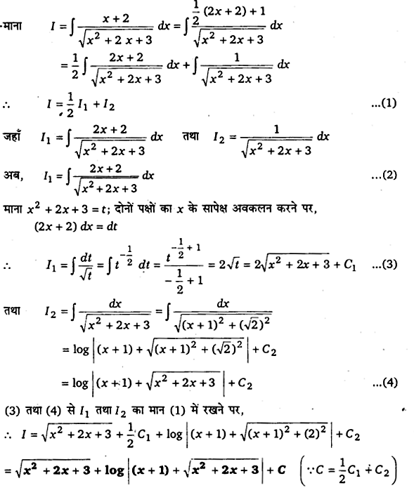
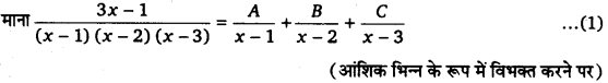
प्रश्न 1 से 21 तक के प्रश्नों में परिमेय फलनों का समाकलन कीजिए
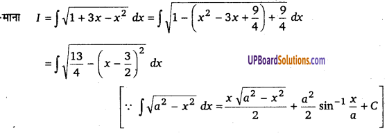
प्रश्न 1.
![]()
हल-


प्रश्न 2.
![]()
हल-

![]()
प्रश्न 3.
![]()
हल-


प्रश्न 4.
![]()
हल-

प्रश्न 5.
![]()
हल-

प्रश्न 6.

हल-


![]()
प्रश्न 7.

हल-


प्रश्न 8.
![]()
हल-

प्रश्न 9.

हल-


प्रश्न 10.
![]()
हल-


![]()
प्रश्न 11.
![]()
हल-

प्रश्न 12.

हल-


प्रश्न 13.
![]()
हल-

![]()
प्रश्न 14.

हल-

प्रश्न 15.

हल-

प्रश्न 16.

हल-

प्रश्न 17.
![]()
हल-

प्रश्न 18.

हल-


प्रश्न 19.

हल-

![]()
प्रश्न 20.

हल-


प्रश्न 21.

हल-

प्रश्न 22.

हल-

प्रश्न 23.

हल-

प्रश्नावली 7.6
प्रश्न 1 से 22 तक के प्रश्नों के फलनों का समाकलन कीजिए
![]()
प्रश्न 1.
फलन x sin x का x के सापेक्ष समाकल ज्ञात कीजिए।
हल-
∫x sin x dx

= – x cos x + ∫cos x dx
= – x cos x + sin x + C
प्रश्न 2.
x sin 3x
हल-
माना I = ∫x.sin 3x dx

प्रश्न 3.
x2 ex
हल-
माना I = ∫x2 ex dx

प्रश्न 4.
फलन x log x का x के सापेक्ष समाकल ज्ञात कीजिए।
हल-
∫ x log x dx

प्रश्न 5.
x log 2x
हल-
माना I = ∫x log 2x dx
= ∫(log 2x).x dx

प्रश्न 6.
फलन x² log x का x के सापेक्ष समाकल ज्ञात कीजिए।
हल-
माना I = ∫x² log x dx

प्रश्न 7.
x sin-1 x
हल-

प्रश्न 8.
x tan-1x
हल-

![]()
प्रश्न 9.
x cos-1 x
हल-

प्रश्न 10.
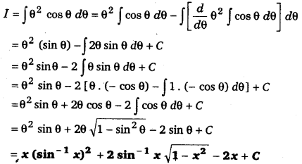
(sin-1x)2
हल-
माना I = [(sin-1 x)2 dx ….(1)
sin-1 x = θ ⇒ x = sinθ ⇒ dx = cos θ dθ
∴(1) से,

प्रश्न 11.

हल-

प्रश्न 12.
x sec² x
हल-
माना I = ∫x sec² x dx

x को पहला फलन तथा sec²x को दूसरा फलन लेकन खण्डश: समाकलन करने पर,
= x tan x – ∫1. tan x dx
= x tan x + log|cos x| + C
प्रश्न 13.
tan-1 x
हल-

![]()
प्रश्न 14.
x(log x)²
हल-
माना I = ∫x (log x)² dx
= ∫(log x)².x dx


प्रश्न 15.
(x² + 1) log x
हल-
माना I = ∫(x² + 1) log x dx
= ∫log x. (x² + 1) dx
(log x) को पहला फलन तथा (x² + 1) को दूसरा फलन लेकर खण्डश: समाकलन करने पर,

प्रश्न 16.
ex (sinx + cosx)
हल-
ex sinx = t
⇒ ex (sinx + cosx)dx = dt
= ∫ex(sinx + cosx)dx = ∫dt = t + c
= ex sinx + c
प्रश्न 17
![]()
हैल-


प्रश्न 18.
![]()
हल-

प्रश्न 19.
![]()
हल-

![]()
प्रश्न 20.

हल-

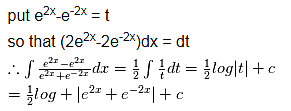
प्रश्न 21.
e2x sinx
हल-

प्रश्न 22.
![]()
हल-

प्रश्न 23

हल-

![]()
प्रश्न 24.

हल-
![]()
प्रश्नावली 7.7
प्रश्न 1 से 9 तक के फलनों का समाकलन कीजिए
प्रश्न 1.
![]()
हल-

प्रश्न 2.
![]()
हल-

प्रश्न 3.
![]()
हल-

प्रश्न 4.
![]()
हल-

प्रश्न 5.
![]()
हल-


प्रश्न 6.
![]()
हल-

![]()
प्रश्न 7.
![]()
हल-


प्रश्न 8.
![]()
हल-

प्रश्न 9.

हल-

![]()
प्रश्न 10.

हल-


प्रश्न 11.

हल-

प्रश्नावली 7.8
योगों की सीमा के रूप में निम्नलिखित निश्चित समाकलनों का मान ज्ञात कीजिए।
प्रश्न 1.
![]()
हल-

प्रश्न 2.
![]()
हल-

प्रश्न 3.
![]()
हल-

प्रश्न 4.
![]()
हल-


![]()
प्रश्न 5.
![]()
हल-

प्रश्न 6.
![]()
हल-

प्रश्नावली 7.9
1 से 20 तक के प्रश्नों में निश्चित समाकलनों का मान ज्ञात कीजिए
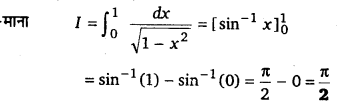
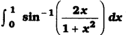
प्रश्न 1.
![]()
हल-

प्रश्न 2.
![]()
हल-
![]()
प्रश्न 3.
![]()
हल-

प्रश्न 4.
![]()
हल-

प्रश्न 5.
![]()
हल-

प्रश्न 6.
![]()
हल-

प्रश्न 7.
![]()
हल-

प्रश्न 8.
![]()
हल-


प्रश्न 9.

हल-

प्रश्न 10.

हल-

प्रश्न 11.

हल-

प्रश्न 12.

हल-

![]()
प्रश्न 13.
![]()
हल-
![]()

प्रश्न 14.

हल-

प्रश्न 15.
![]()
हल-

प्रश्न 16.

हल-



प्रश्न 17.
![]()
हल-

प्रश्न 18.
![]()
हल-

प्रश्न 19.
![]()
हल-

प्रश्न 20.

हल-

![]()
प्रश्न 21.

हल-
![]()
प्रश्न 22.

हल-

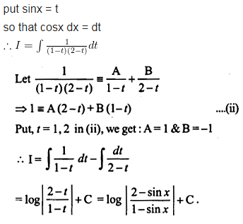
प्रश्नावली 7.10
प्रश्न 1 से 8 तक के प्रश्नों में समाकलनों का मान प्रतिस्थापन का उपयोग करते हुए ज्ञात कीजिए।
प्रश्न 1.
![]()
हल-

प्रश्न 2.
![]()
हल-


प्रश्न 3.

हल-

प्रश्न 4.
![]()
हल-

![]()
प्रश्न 5.
![]()
हल-

प्रश्न 6.

हल-


प्रश्न 7.

हल-

प्रश्न 8.

हल-

प्रश्न 9.

हल-



प्रश्न 10.

हल-

प्रश्नावली 7.11.
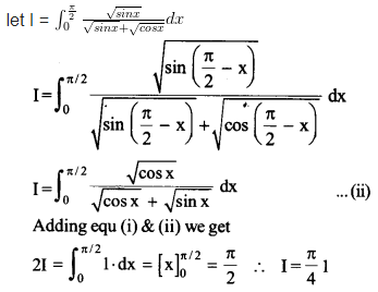
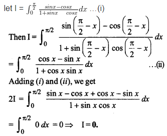
निश्चित समाकलनों में गुणधर्मों का उपयोग करते हुए 1 से 19 तक के प्रश्नों में समाकलनों का मान ज्ञात कीपिए—
प्रश्न 1.
![]()
हल-

प्रश्न 2.
![]()
हल-

![]()
प्रश्न 3.

हल-

प्रश्न 4.

हल-

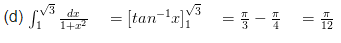
प्रश्न 5.
![]()
हल-

प्रश्न 6.
![]()
हल-

प्रश्न 7.
![]()
हल-

![]()
प्रश्न 8.
![]()
हल-

प्रश्न 9.
![]()
हल-

प्रश्न 10.
![]()
हल-


प्रश्न 11.
![]()
हल-

प्रश्न 12.
![]()
हल-

प्रश्न 13.
![]()
हल-

प्रश्न 14.
![]()
हल-

![]()
प्रश्न 15.
![]()
हल-

प्रश्न 16.
![]()
हल-



प्रश्न 17.

हल-

![]()
प्रश्न 18.
![]()
हल-

प्रश्न 19.

हल-

प्रश्न 20.

हल-

प्रश्न 21.

हल-

We hope the UP Board Solutions for Class 12 Maths Chapter 7 Integrals (समाकलन) help you. If you have any query regarding UP Board Solutions for Class 12 Maths Chapter 7 Integrals (समाकलन), drop a comment below and we will get back to you at the earliest.