UP Board Solutions for Class 12 Chemistry Chapter 16 Chemistry in Everyday Life (दैनिक जीवन में रसायन)
अभ्यास के अन्तर्गत दिए गए प्रश्नोत्तर
प्रश्न 1.
अनिद्राग्रस्त रोगियों को चिकित्सक नींद लाने वाली गोलियाँ लेने का परामर्श देते हैं, परन्तु बिना चिकित्सक से परामर्श लिए इनकी खुराक लेना उचित क्यों नहीं है?
उत्तर :
नींद की गोलियों में प्रशांतक या प्रतिअवसादक होते हैं। ये तंत्रिका तन्त्र को प्रभावित करके नींद लाते हैं। यदि इनकी खुराक भली प्रकार नियन्त्रित न हो तब ये हानिकारक प्रभाव डालते हैं तथा विष की तरह कार्य करके मृत्यु तक कारित करते हैं। अत: यह सलाह दी जाती है कि इन नींद की गोलियों को चिकित्सक की सलाह से लेना चाहिए।
प्रश्न 2.
किस वर्गीकरण के आधार पर वक्तव्य, रेनिटिडीन प्रतिअम्ल हैं, दिया गया है?
उत्तर :
यह वक्तव्य औषध के फार्माकोलोजिकल (pharmacological) आधार पर वर्गीकरण की ओर संकेत करता है क्योंकि औषध जिसका प्रयोग आमाशय में उपस्थित अम्ल के आधिक्य को उदासीन करता है, प्रतिअम्ल (antacid) कहलाता है।
प्रश्न 3.
हमें कृत्रिम मधुरकों की आवश्यकता क्यों पड़ती है?
उत्तर :
हमें कृत्रिम मधुरकों की आवश्यकता कैलोरी कम करने तथा दंतक्षय को रोकने के लिए पड़ती है।
प्रश्न 4.
ग्लिसरिल ओलिएट तथा ग्लिसरिल पामिटेट से सोडियम साबुन बनाने के लिए रासायनिक
समीकरण लिखिए। इनके संरचनात्मक सूत्र नीचे दिए गए हैं
(i) (C15H31COO)3 C3H5 – ग्लिसरिल पामिटेट
(ii) (C15H32COO)3 C3H5 – ग्लिसरिल ओलिएट।
उत्तर :
(i)

(ii)

प्रश्न 5.
निम्नलिखित प्रकार के अनायनिक अपमार्जक, द्रव अपमार्जकों, इमल्सीकारकों और क्लेदन कारकों (wetting agents) में उपस्थित होते हैं। अणु में जलरागी तथा जलविरागी हिस्सों को दर्शाइए। अणु में उपस्थित प्रकार्यात्मक समूह की पहचान कीजिए।

उत्तर :

अपमार्जक अणु में उपस्थित विभिन्न प्रकार्यात्मक समूह हैं
- ईथर,
- प्राथमिक (1°) ऐल्कोहॉलीय समूह।
अतिरिक्त अभ्यास
प्रश्न 1.
हमें औषधों को विभिन्न प्रकार से वर्गीकृत करने की आवश्यकता क्यों है?
उत्तर :
औषधों को विभिन्न प्रकार से वर्गीकृत करने के अनेक लाभ हैं। उदाहरणार्थ, फार्माकोलोजिकल प्रभाव के आधार पर वर्गीकरण डॉक्टरों के लिए लाभदायक है क्योंकि इससे उन्हें किसी रोग विशेष के उपचार के लिए उपलब्ध सभी औषधों की जानकारी मिलती है। इसी प्रकार जैवरासायनिक प्रक्रम पर प्रभाव के आधार पर वर्गीकरण से वांछित औषध के संश्लेषण के लिए सही यौगिक के चयन में सहायता मिलती है। अणु लक्ष्यों के आधार पर वर्गीकरण से केमिस्टों को किसी विशेष ग्राही स्थल के लिए सर्वाधिक प्रभावी औषध के निर्माण में सहायता मिलती है। स्पष्ट है कि प्रत्येक प्रकार के वर्गीकरण की अपनी उपयोगिता है।
प्रश्न 2.
औषध रसायन के पारिभाषिक शब्द, लक्ष्य-अणु अथवा औषध-लक्ष्य को समझाइए।
उत्तर :
औषध सामान्यत: जैविक वृहदाणुओं जैसे-कार्बोहाइड्रेट, लिपिड, प्रोटीन, न्यूक्लीक अम्ल के साथ अन्योन्यक्रियाएँ करते हैं जिन्हें औषध लक्ष्य कहते हैं।
प्रश्न 3.
उन वृहद-अणुओं के नाम लिखिए जिन्हें औषध-लक्ष्य चुना जाता है।
उत्तर :
प्रोटीन, कार्बोहाइड्रेट, लिपिड, न्यूक्लीक अम्ल आदि।
प्रश्न 4.
बिना डॉक्टर से फ्रामर्श लिए दबाइयाँ क्यों नहीं लेनी चाहिए?
उत्तर :
बिना डॉक्टर के परामर्श के दवाइयाँ इसलिए नहीं लेनी चाहिए क्योंकि अधिक मात्रा में दवा विषैला प्रभाव डालती है तथा जीवधारी के कार्यों में व्यवधान उत्पन्न करती है।
प्रश्न 5.
रसायनचिकित्सा शब्द की परिभाषा लिखिए।
उत्तर :
रसायन विज्ञान की वह शाखा जो रसायनों के द्वारा रोगों के उपचार से संबंधित होती है, रसायन चिकित्सा कहलाती है।
प्रश्न 6.
एन्जाइम की सतह पर औषध को थामने के लिए कौन-से बल कार्य करते हैं?
उत्तर :
आयनिक बन्धन, हाइड्रोजन बन्धन, द्विध्रुव-द्विध्रुव अन्योन्यक्रियाएँ या वाण्डरवाल्स अन्योन्यक्रियाएँ।
प्रश्न 7.
प्रतिअम्ल एवं प्रति-एलर्जी औषध हिस्टैमिन के कार्य में बाधा डालती हैं, परन्तु ये एक-दूसरे के कार्य में बाधक क्यों नहीं होती?
उत्तर :
औषधों का प्रयोग अंग विशेष की व्याधियों को दूर करने में किया जाता है लेकिन ये अन्य को प्रभावित नहीं करती हैं क्योंकि ये अलग-अलग ग्राहियों (receptors) पर कार्य करती हैं।
उदाहरणार्थ :
हिस्टैमिन का स्रावण एलर्जी (allergy) उत्पन्न करता है। यह आमाशय में HCl विमोचित करने के कारण अम्लता (acidity) भी उत्पन्न करता है। प्रतिएलर्जिक तथा प्रतिअम्ल भिन्न ग्राहियों पर कार्य करते हैं। अत: प्रतिहिस्टैमिन एलर्जी दूर करते हैं जबकि प्रतिअम्ल अम्लता दूर करते हैं।
प्रश्न 8.
नॉरऐड्रीनेलिन का कम स्तर अवसाद का कारण होता है। इस समस्या के निदान के लिए किस प्रकार की औषध की आवश्यकता होती है? दो औषधों के नाम लिखिए।
उत्तर :
इस समस्या के निदान के लिए प्रतिअवसादक औषधों (antidepressant drugs) की आवश्यकता होती है। ये औषध नोरएड्रिनेलिन के निम्नीकरण को उत्प्रेरित करने वाले एंजाइमों को बाधित करते हैं। इससे नेरएड्रिनेलिन धीरे उपापचयित होता है और ग्राही को लंबे समय तक सक्रियित रखता है। जिससे अवसाद कम हो जाता है।
उदाहरणार्थ :
इप्रोनाइजिड, फिनल्जिन आदि।
प्रश्न 9.
‘वृहद्-स्पेक्ट्रम जीवाणुनाशी’ शब्द से आप क्या समझते हैं? समझाइए। (2011)
उत्तर :
वे प्रतिजैविक जो कि कई प्रकार के हानिकारक सूक्ष्म-जीवों के प्रति प्रभावी होते हैं, ‘वृहद-स्पेक्ट्रम प्रतिजैविक’ कहलाते हैं। उदाहरणार्थ-टेट्रासाइक्लिन, क्लोरम्फेनिकोल आदि।
प्रश्न 10.
पूतिरोधी तथा संक्रमणहारी किस प्रकार से भिन्न हैं? प्रत्येक का एक उदाहरण दीजिए।
उत्तर :
पूतिरोधी वे रसायन होते हैं जो सूक्ष्मजीवियों को मार देते हैं या उनकी वृद्धि रोकते है तथा जीवित ऊतकों को हानि नहीं पहुंचाते हैं। विसंक्रामी सूक्ष्म-जीवों को मार देते हैं तथा जीवित मानव ऊतकों को हानि पहुँचाते हैं।
उदाहरणार्थ :
- पूतिरोधी (Antiseptic) : डिटॉल, आयोडोफॉर्म, टिंक्चर आयोडीन।
- विसंक्रामी (Disinfectants) : क्लोरीन (> 0.4 ppm), फीनॉल (> 1 % विलयन)।
प्रश्न 11.
सिमेटिडीन तथा दैनिटिडीन सोडियम हाइड्रोजनकार्बोनेट अथवा मैग्नीशियम या | ऐलुमिनियम हाइड्रॉक्साइड की तुलना में श्रेष्ठ प्रतिअम्ल क्यों हैं?
उत्तर :
सिमेटिडीन तथा रैनिटिडीन श्रेष्ठ प्रतिअम्ल हैं क्योंकि ये आमाशय भित्ति में उपस्थित ग्राहियों (receptors) तथा हिस्टैमिन के मध्य अन्योन्यक्रिया को रोकते हैं जिसके परिणामस्वरूप कम मात्रा में अम्ल मुक्त होता है। दूसरी ओर, सोडियम हाइड्रोजन कार्बोनेट अथवा मैग्नीशियम या ऐलुमिनियम हाइड्रॉक्साइड केवल लक्षणों पर कार्य करते हैं. कारण पर नहीं
प्रश्न 12.
एक ऐसे पदार्थ का उदाहरण दीजिए जिसे पूतिरोधी तथा संक्रमणहारी दोनों प्रकार से प्रयोग किया जा सकता है।
उत्तर :
फीनॉल का 0.2% विलयन पूतिरोधी का कर्य करता है जबकि 1% विलक्नविसंक्रामी का कार्य करता है।
प्रश्न 13.
डेटॉल के प्रमुख संघटक कौन-से हैं?
उत्तर :
डेटॉल क्लोरोजाइलिनोल तथा α -टरपीनिऑल का मिश्रण होता है।
प्रश्न 14.
आयोडीन का टिंक्चर क्या होता है? इसके क्या उपयोग हैं? ।
उत्तर :
आयोडीन का ऐल्कोहॉल या जल में 2 – 3 % विलयन आयोडीन का टिंक्चर कहलाता है। यह शक्तिशाली पूतिरोधी होता है। इसका प्रयोग घावों पर किया जाता है।
प्रश्न 15.
खाद्य पदार्थ परिरक्षक क्या होते हैं?
उत्तर :
खाद्य परिरक्षक वे पदार्थ होते हैं जो सूक्ष्म-जीवों द्वारा होने वाले किण्वन, अम्लीकरण या अन्य विघटन को बाधित करके भोजन को खराब होने से रोकते हैं।
प्रश्न 16.
ऐस्पार्टेम का प्रयोग केवल ठण्डे खाद्य एवं पेय पदार्थों तक सीमित क्यों है?
उत्तर :
यह पकाने के ताप पर विघटित हो जाता है अतः इसका प्रयोग केवल ठण्डे खाद्य एवं पेय पदार्थों तक सीमित है।
प्रश्न 17.
कृत्रिम मधुरक क्या हैं? दो उदाहरण दीजिए।
उत्तर :
कृत्रिम मधुरक रासायनिक पदार्थ होते हैं जो स्वाद में मीठे होते हैं लेकिन हमारे शरीर को कैलोरी प्रदान नहीं करते हैं। ये हमारे शरीर से अपरिवर्तित अवस्था में उत्सर्जित हो जाते हैं।
उदाहरणार्थ :
सैकरीन, एस्पार्टेम, सुक्रोलोस आदि।
प्रश्न 18.
मधुमेह के रोगियों के लिए मिठाई बनाने के लिए उपयोग में लाए जाने वाले मधुरक का क्या नाम है?
उत्तर :
सैकरीन।
प्रश्न 19.
ऐलिटेम को कृत्रिम मधुरक की तरह उपयोग में लाने पर क्या समस्याएँ होती हैं?
उत्तर :
ऐलिटेम उच्च क्षमता का कृत्रिम मधुरक है इसलिए इसका प्रयोग करने पर भोजन की मिठास को नियंत्रित करना कठिन होता है।
प्रश्न 20.
साबुनों की अपेक्षा संश्लेषित अपमार्जक किस प्रकार श्रेष्ठ हैं?
उत्तर :
अपमार्जक का प्रयोग मृदु तथा कठोर जल दोनों में किया जा सकता है क्योंकि ये कठोर जल में भी झाग देते हैं। इसका कारण यह है कि सल्फोनिक अम्ल तथा इनके कैल्सियम तथा मैग्नीशियम लवण जल में विलेय होते हैं जबकि वसीय अम्ल तथा इनके कैल्सियम और मैग्नीशियम लवण अविलेय होते हैं।
प्रश्न 21.
निम्नलिखित शब्दों को उपयुक्त उदाहरणों द्वारा समझाइए
(क) धनात्मक अपमार्जक
(ख) ऋणात्मक अपमार्जक
(ग) अनायनिक अपमार्जक
उत्तर :
(क)
धनात्मक अपमार्जक (Cationic detergents) :
धनात्मक अपमार्जक ऐमीनों के ऐसीटेट, क्लोराइड या ब्रोमाइड ऋणायनों के साथ बने चतुष्क लवण होते हैं। उदाहरणार्थ सेटिल ट्राइमेथिल अमोनियम क्लोराइड।
(ख)
ऋणात्मक अपमार्जक (Anionic detergents) :
ऋणात्मक अपमार्जक लम्बी श्रृंखला वाले ऐल्कोहॉलों अथवा हाइड्रोकार्बनों के सल्फोनेटित व्युत्पन्न होते हैं। ये दो प्रकार के होते हैं
(i) सोडियम ऐल्किल सल्फेट (Sodium alkyl sulphates)
उदाहरणार्थ :
सोडियम लॉरिल सल्फेट, C11H23CH2OSO3Na.
(ii) सोडियम ऐल्किल बेन्जीन सल्फेट (Sodium alkyl benzene sulphate) : सर्वाधिक प्रयोग किया जाने वाला घरेलू अपमार्जक सोडियम-4-(-1-डोडेसिल) बेन्जीन सल्फोनेट (SDS) हैं।

(ग)
अनायनिक अपमार्जक (Non-ionic detergents) :
अनायनिक अपमार्जक, उच्च आण्विक द्रव्यमान वाले ऐल्कोहॉलों के साथ वसा अम्लों के एस्टरे होते हैं।
उदाहरणार्थ :
पॉलिएथिलीन ग्लाइकॉल स्टिऐरेट CH3 (CH2)6 COO (CH2CH2O)n CH2CH2OH.
प्रश्न 22.
जैव-निम्नीकृत होने वाले और जैव-निम्नीकृत न होने वाले अपमार्जक क्या हैं? प्रत्येक का एक उदाहरण दीजिए।
उत्तर :
जैव-अपघट्य (निम्नीकृत) अपमार्जक सीधी हाइड्रोकार्बन शृंखलायुक्त होते हैं। ये अपमार्जक जीवाणुओं द्वारा नष्ट हो जाते हैं। जैव-अनपघट्य (अनिम्नीकृत) अपमार्जक शाखित हाइड्रोकार्बन श्रृंखलायुक्त होते हैं। ये अपमार्जक जीवाणुओं द्वारा नष्ट नहीं होते हैं। अनपघट्य अपमार्जक प्रदूषण का स्रोत होते हैं।
- जैव अपघट्य अपमार्जक : सोडियम लॉरिल सल्फेट
- अनपघट्य अपमार्जक : सोडियम 4 – (1, 3, 5, 7 – टेट्रामेथिलऑक्टिल) बेन्जीनसल्फोनेट।
प्रश्न 23.
साबुन कठोर जल में कार्य क्यों नहीं करता?
उत्तर :
कठोर जल में कैल्सियम और मैग्नीशियम के लवण होते हैं। साबुन को कठोर जल में डालने पर साबुन कैल्सियम और मैग्नीशियम साबुन के रूप में अवक्षेपित हो जाते हैं। ये साबुन अविलेय होने के कारण कपड़ों पर चिपचिपे पदार्थ के रूप में चिपक जाते हैं।
प्रश्न 24.
क्या आप साबुन तथा संश्लेषित अपमार्जकों का प्रयोग जल की कठोरता जानने के लिए कर सकते हैं?
उत्तर :
साबुन कठोर जल में अविलेय कैल्सियम तथा मैग्नीशियम साबुनों के रूप में अवक्षेपित हो जाते हैं, लेकिन अपमार्जक नहीं। इसलिए साबुन का प्रयोग जल की कठोरता जानने के लिए किया जा सकता है, अपमार्जकों का नहीं।
प्रश्न 25.
साबुन की शोधन क्रिया समझाइए।
उत्तर :
साबुन की शोधन क्रिया (Cleansing Action of Soaps) :
साबुन का अणु दो भागों का बना होता है। साबुन के अणु का एक भाग तो लम्बी हाइड्रोकार्बन श्रृंखला होती है जो अनायनिक होती है तथा साबुन के अणु का दूसरा भाग छोटा कार्बोक्सिलिक समूह (COO– Na+) होता है जो आयनिक होता है। साबुन के अणु को चित्र – 1 द्वारा दर्शाया जाता है जिसमें टेढ़ी-मेढ़ी लम्बी रेखा तो हाइड्रोकार्बन श्रृंखला को निरूपित करती है, जबकि काला गोर्लीय भाग आयनिक समूह (COO–) को निरूपित करता है।

साबुन के अणु का हाइड्रोकार्बन श्रृंखला वाला भाग जल को प्रतिकर्षित करने वाला होता है (या जलविरोधी होता है), परन्तु वह धूल तथा चिकनाई जैसे मैल के कार्बनिक कणों को अपने साथ जोड़ लेता है। इसलिए मैले कपड़ों की सतह पर उपस्थित धूल तथा चिकनाई के कण साबुन के अणु के हाइड्रोकार्बन वाले भाग से जुड़ जाते हैं। साबुन के अणु का आयनिक भाग (COO–) जलस्नेही होता है जो जल के अणुओं की ओर आकर्षित होता है और अपने हाइड्रोकार्बन भाग में चिपके धूल तथा चिकनाई के कणों को अपने साथ खींचकर जल में ले आता है। इस प्रकार मैले कपड़े की सतह पर लगे धूल तथा चिकनाई के सारे कण साबुन के अणुओं के साथ लगकर जल में आ जाते हैं तथा मैला कपड़ा साफ हो जाता है।

जब साबुन को जल में घोलते हैं तो वह मिसेल (micelles) बनाता है (क) इस मिसेल में साबुन के अणु अरीय (radially) ढंग से व्यवस्थित होते हैं जिसमें हाइड्रोकार्बन श्रृंखला वाला भाग केन्द्र की ओर होता है। तथा जल को आकर्षित करने वाला कार्बोक्सिलिक भाग बाहर की ओर रहता है जैसा कि (ख) में दिखाया गया है।
जब साबुन के पानी में धूल तथा चिकनाई लगा मैला कपड़ा डालते हैं तो मिसेलों के हाइड्रोकार्बन श्रृंखलाओं वाले सिरे मैले कपड़े की सतह पर उपस्थित धूल तथा चिकनाई के कणों के साथ जुड़ जाते हैं तथा उन्हें अपने बीच फंसा लेते हैं। इसके बाद मिसेलों के बाहर की ओर वाले आयनिक सिरे जल के अणुओं की ओर आकर्षित होते हैं जिससे हाइड्रोकार्बन वाले सिरों में फँसे मैल के कण कपड़े की सतह से खिंचकर जल में आ जाते हैं तथा कपड़ा साफ हो जाता है। साबुन द्वारा चिकनाई तथा धूल को पृथक् करने के प्रक्रम को निम्नांकित चित्र-3 द्वारा दर्शाया गया है

प्रश्न 26.
यदि जल में कैल्सियम हाइड्रोजनकार्बोनेट घुला हो तो आप कपड़े धोने के लिए साबुन एवं संश्लेषित अपमार्जकों में से किसका प्रयोग करेंगे?
उत्तर :
कैल्सियम बाइकार्बोनेट जले को कठोर बनाता है, अतएव साबुन इस जल में अवक्षेपित हो जाएगा। इसके विपरीत, अपमार्जक के कैल्सियम लवण जल में विलेय होते हैं। अत: संश्लेषित अपमार्जकों का प्रयोग , कठोर जल में कपड़े धोने के लिए किया जाता है।
प्रश्न 27.
निम्नलिखित यौगिकों में जलरागी एवं जलविरागी भाग दर्शाइए

उत्तर :

परीक्षोपयोगी प्रश्नोत्तर
बहुविकल्पीय प्रश्न
प्रश्न 1.
डाइजीन (digene) है।
(i) पीड़ाहारी
(ii) पूतिरोधी
(iii) प्रतिअम्ल
(iv) प्रतिहिस्टैमिन
उत्तर :
(iii) प्रतिअम्ल
प्रश्न 2.
निम्न में से कौन-सा प्रतिअम्ल है?
(i) ग्रास्त्रीवॉल
(ii) फीनॉल
(iii) ओमेप्राजोल
(iv) डेटॉल
उत्तर :
(iii) ओमेप्राजोल
प्रश्न 3.
डूगों का वह वर्ग जिसका प्रयोग तनाव के उपचार के लिए किया जाता है, है।
(i) पीड़ाहारी
(ii) पूतिरोधी
(iii) प्रतिहिस्टैमिन
(iv) प्रशांतक
उत्तर :
(iv) प्रशांतक
प्रश्न 4.
निम्न में से किसका प्रयोग प्रशांतक के रूप में किया जाता है?
(i) नेप्रोक्सेन
(ii) टेट्रासाइक्लिन
(iii) क्लोरफेनेरामाइन
(iv) इक्वैनिल
उत्तर :
(iv) इक्वैनिल
प्रश्न 5. बार्बिट्यूरिक अम्ल का प्रयोग किस रूप में होता है?
(i) ज्वरनाशी
(ii) पूतिरोधी
(iii) पोड़ाहारी
(iv) प्रशांतक
उत्तर :
(iv) प्रशांतक
प्रश्न 6.
निम्न में से सम्भवतः किसका प्रयोग बिना व्यसन उत्पन्न किए पीड़ाहारी के रूप में किया जाता है?
(i) मॉर्फीन
(ii) N-ऐसीटिल-पैरा-ऐमीनोफीनॉल
(iii) डाइजीपाम
(iv) मेथिल सैलिसिलेट
उत्तर :
(ii) N-ऐसीटिल-पैरा-ऐमीनोफीनॉल
प्रश्न 7.
ऐसीटॉक्सी बेंजोइक अम्ल कार्य करता है।
(i) पीड़ाहारी
(ii) ज्वरनाशी
(iii) पूतिरोधी
(iv) प्रतिजैविक
उत्तर :
(i) पीड़ाहारी
प्रश्न 8.
ऐस्प्रिन है।
(i) प्रतिजैविक
(ii) ज्वरनाशी
(iii) पूतिरोधी
(iv) इनमें से कोई नहीं
उत्तर :
(ii) ज्वरनाशी
प्रश्न 9.
ऐसीटिल सैलिसिलिक ऐसिड कहलाता है।
(i) पूतिरोधी
(ii) ऐस्प्रिन
(iii) प्रतिजैविक
(iv) रंजक
उत्तर :
(ii) ऐस्प्रिन
प्रश्न10.
निम्न में से कौन शरीर का ताप कम करता है?
(i) ज्वरनाशी
(ii) पीड़ाहारी
(iii) प्रतिजैविक
(iv) वैलियम
उत्तर :
(i) ज्वरनाशी
प्रश्न11.
ऐसीटिल सैलिसिलिक ऐसिड का प्रयोग किस रूप में होता है?
(i) प्रतिमलेरियल
(ii) प्रति अवसादक
(iii) पूतिरोधी
(iv) ज्वरनाशी
उत्तर :
(iv) ज्वरनाशी
प्रश्न12.
टिंक्चर आयोडीन है।
(i) I2 का जलीय विलयन
(ii) जलीय KI में I2 का विलयन
(iii) I2 का ऐल्कोहॉलीय विलयन
(iv) KI का जलीय विलयन
उत्तर :
(iii) I2 का ऐल्कोहॉलीय विलयन
प्रश्न 13.
निम्न में से कौन प्रतिजैविक नहीं है?
(i) पेनिसिलीन
(ii) ऑक्सीटॉसिन
(iii) टेट्रासाइक्लीन
(iv) एरिथ्रोमाइसिन
उत्तर :
(ii) ऑक्सीटॉसिन
प्रश्न 14.
बीटाडीन है।
(i) पूतिरोधी
(ii) प्रशांतक
(iii) विसंक्रामी
(iv) प्रतिजैविक
उत्तर :
(i) पूतिरोधी
प्रश्न 15.
पैरासीटेमॉल प्रयुक्त होता है।
(i) प्रतिजैविक के रूप में
(ii) मलेरिया रोधी के रूप में
(iii) ज्वरनाशी के रूप में
(iv) पूतिरोधी के रूप में
उत्तर :
(iii) ज्वरनाशी के रूप में
प्रश्न 16.
पेनिसिलीन है
(i) पूतिरोधी
(ii) ज्वरनाशी
(iii) ऐण्टीबायोटिक
(iv) खाद्य परिरक्षक
उत्तर :
(iii) ऐण्टीबायोटिक
प्रश्न 17.
फीनॉल का 0.2% विलयन निम्न रूप में कार्य करता है।
(i) दर्दनाशक
(ii) ऐण्टीसेप्टिक
(iii) संक्रमण रोधी
(iv) एण्टीबायोटिक
उत्तर :
(ii) ऐण्टीसेप्टिक
प्रश्न 18.
डेटॉल है एक
(i) प्रतिजैविक
(ii) ज्वररोधी
(iii) दर्दनाशक
(iv) पूतिरोधी
उत्तर :
(iv) पूतिरोधी
प्रश्न 19.
पैरासीटामोल की संरचना है।

उत्तर :
![]()
प्रश्न 20.
पूतिरोधी तथा विसंक्रामी सूक्ष्मजीवों का विनाश करते हैं या उनकी वृद्धि को रोकते हैं। निम्न में से जो कथन सही नहीं है, उसको पहचानिए।
(i) क्लोरीन व आयोडीन प्रबल विसंक्रामी की तरह प्रयोग में आते हैं।
(ii) बोरिक अम्ल व हाइड्रोजन परॉक्साइड का तनु विलयन प्रबल पूतिरोधी होता है।
(iii) विसंक्रामी जीवित ऊतकों को नुकसान पहुंचाते हैं।
(iv) फीनॉल का 0.2% विलयन पूतिरोधी है, जबकि 1% विलयन विसंक्रामी है।
उत्तर :
(ii) बोरिक अम्ल व हाइड्रोजन परॉक्साइड का तनु विलयन प्रबल पूतिरोधी होता है।
प्रश्न21.
निम्न में से किसका प्रयोग ‘मॉर्निग ऑफ्टर पिल’ के रूप में किया जाता है?
(i) एथिनिलएस्ट्राडाइऑल
(ii) मिफैप्रिस्टोन
(iii) बाइथायोनल
(iv) प्रोमैथेजिन
उत्तर :
(ii) मिफैप्रिस्टोन
प्रश्न 22.
क्लोरीन मुक्त कृत्रिम मधुरक जिसकी दिखावट और स्वाद शर्करा (sugar) के समान होता है और जो पकाने के ताप पर स्थायी होता है, है।
(i) एस्पार्टेम
(ii) सैकेरिन
(iii) सुक्रोलोस
(iv) ऐलीटेम
उत्तर :
(iii) सुक्रोलोस
प्रश्न 23.
सॉर्बिक अम्ल और प्रोपिओनिक अम्ल हैं।
(i) प्रतिऑक्सीकारक
(ii) खाद्य परिरक्षक
(iii) पोषक पूरक
(iv) अपमार्जक
उत्तर :
(ii) खाद्य परिरक्षक
प्रश्न 24.
केश कंडीशनरों में प्रयुक्त कार्बनिक अपमार्जक है।
(i) सोडियम लॉरिल सल्फेट
(ii) सोडियम डोडेसिलबेंजीन सल्फोनेट
(iii) सोडियम स्टेरिल सल्फेट
(iv) सेटिलाइमेथिलअमोनियम ब्रोमाइड
उत्तर :
(iv) सेटिलट्राइमेथिलअमोनियम ब्रोमाइड
अतिलघु उत्तरीय प्रश्न
प्रश्न 1.
ड्रग क्या है?
उत्तर :
वह रासायनिक पदार्थ जो रोग का उपचार करता है और जिसके प्रयोग से व्यक्ति उसका आदि हो जाता है, ड्रग कहलाता है।
प्रश्न 2.
ड्रग का अणुभार कितना होता है?
उत्तर :
100-500 u.
प्रश्न 3.
एंजाइम क्या हैं? (2018)
उत्तर :
प्रोटीन जो जैव उत्प्रेरकों की तरह कार्य करते हैं तथा शरीर में होने वाली विभिन्न अभिक्रियाओं को उत्प्रेरित करते हैं, एंजाइम कहलाते हैं।
प्रश्न 4.
ग्राही कहाँ स्थित होते हैं?
उत्तर :
ग्राही कोशिका कला की बाहरी सतह पर स्थित होते हैं।
प्रश्न 5.
ऐलोस्टैरिक स्थान से क्या तात्पर्य है?
उत्तर :
एंजाइम का वह स्थान (सक्रिय स्थान से अलग) जहाँ पर एक अणु जुड़कर सक्रिय स्थान की आकृति को परिवर्तित कर देता है, ऐलोस्टैरिक स्थान कहलाता है।
प्रश्न 6.
ओमेप्राजोल किस प्रकार प्रतिअम्ल का कार्य करती है?
उत्तर :
ओमेप्राजोल आमाशय में HCl के बनने को रोककर प्रतिअम्ल का कार्य करती है।
प्रश्न 7.
किस औषध का प्रयोग हृदयाघातों को रोकने के लिए किया जाता है?
उत्तर :
एस्पिरिन।
प्रश्न 8.
एस्पिरिन किस प्रकार पीड़ाहारी का कार्य करती है?
उत्तर :
ऐस्पिरिन प्रोस्टाग्लैन्डिन के संश्लेषण को रोककर पीड़ाहारी का कार्य करती है। प्रोस्टाग्लैन्डिन ऊतकों की सूजन में वृद्धि कर दर्द उत्पन्न करते हैं।
प्रश्न 9.
एक पदार्थ का नाम लिखिए जो दोनों के समान कार्य करता है।
- पीड़ाहारी और ज्वरनाशी तथा
- पूतिरोधी और विसंक्रामी।
उत्तर :
- ऐस्पिरिन तथा
- फीनॉल।
प्रश्न 10.
प्रतिसूक्ष्मजैविक क्या होते हैं? या प्रतिजैविक क्या होते हैं? किन्हीं दो प्रतिजैविकों के नाम लिखिए। (2014)
उत्तर :
वे ड्रग जिनका प्रयोग सूक्ष्मजीवों; जैसे-जीवाणु, वाइरस, कवक आदि के द्वारा उत्पन्न रोगों के निवारण के लिए किया जाता है, प्रतिसूक्ष्मजैविक कहलाते हैं।
उदाहरणार्थ :
पेनिसिलीन तथा स्ट्रेप्टोमाइसिन।
प्रश्न 11.
अतिअम्तृता किस प्रकार हानिकारक है?
उत्तर :
अतिअम्लता से व्रण (ulcers) हो जाते हैं।
प्रश्न 12.
एक विस्तृत परास वाले प्रतिजैविक का नाम लिखिए।
उत्तर :
क्लोरमफेनिकॉल।
प्रश्न 13.
सल्फा ड्रग का मूल यौगिक क्या है?
उत्तर :
सल्फोनिलेमाइड
प्रश्न 14.
सल्फा ड्रग्स प्रतिजैविकों की तरह कार्य करती हैं लेकिन प्रतिजैविक नहीं होती हैं। क्या यह कथन सत्य है और क्यों?
उत्तर :
यह कथन सत्य है। सल्फा ड्रग्स सूक्ष्मजीवियों के प्रति प्रतिजैविकों के समान व्यवहार करती हैं। लेकिन सूक्ष्मजीवियों से प्राप्त नहीं होती हैं।
प्रश्न 15.
आँखों के लिए प्रयुक्त किए जाने वाले पूतिरोधी का नाम लिखिए।
उत्तर :
बोरिक अम्ल (H3 BO3) का प्रयोग आँखों के लिए प्रतिरोधी के रूप में किया जाता है।
प्रश्न 16.
रासायनिक रूप से सैकेरिन क्या है?
उत्तर :
ऑथोंसल्फोबेन्जीमाइड।
प्रश्न 17.
एक कृत्रिम मधुरक का नाम लिखिए जो सुक्रोस का व्युत्पन्न है।
उत्तर :
सुक्रोलोस।
प्रश्न 18.
D – शर्कराएँ अन्तर्ग्रहीत कैलोरी बढ़ाती हैं, जबकि L – शर्कराएँ नहीं, क्यों?
उत्तर :
L – शर्कराएँ अन्तर्ग्रहीत कैलोरी नहीं बढ़ातीं क्योंकि हमारे शरीर में इनका उपापचय करने वाले । एंजाइम नहीं पाए जाते हैं; अतः ये पूर्वावस्था में ही उत्सर्जित हो जाती हैं।
प्रश्न 19.
दो अम्लों के नाम लिखिए जिनके सोडियम लवण खाद्य परिरक्षकों की भाँति प्रयोग किए जाते हैं।
उत्तर :
बेन्जोइक अम्ल तथा सॉर्बिक अम्ल।
प्रश्न 20.
संश्लेषित अपमार्जक क्या होते हैं? किन्हीं दो अपर्माजकों के नाम लिखिए।
उत्तर :
यह एक विशेष प्रकार का कृत्रिम आयनिक कार्बनिक पदार्थ है जिसमें साबुन की तरह मैल घोलने का गुण पाया जाता है। इसका प्रयोग कठोर एवं मृदु दोनों प्रकार के जल के साथ किया जा सकता है। यह प्रबल कार्बनिक अम्ल और प्रबल कार्बनिक क्षारक से बने हुए अति उच्च अणुभार के लवण होते हैं। जिसके धनायन या ऋणायन में 12 से 18 कार्बनिक परमाणुओं वाली हाइड्रोकार्बन शृंखला और जल विरोधी व जल स्नेही दोनों प्रकार उपस्थित होते हैं।
उदाहरण :
(i)
![]()
(ii) सोडियम P डोडेसिलबेन्जीन सल्फोनेट

प्रश्न 21.
मृदु साबुन से क्या तात्पर्य है?
उत्तर :
ओलिक अम्ल, पामीटिक अम्ल, स्टियरिक अम्ल आदि वसीय अम्लों के पोटैशियम लवण मृदु . साबुन कहलाते हैं।
प्रश्न 22.
साबुनों में बाइथायोनल क्यों मिलाया जाता है?
उत्तर :
बाइथायोनल एक पूतिरोधी है। यह त्वचा पर जैव पदार्थों के जीवाणुओं द्वारा अपघटन से उत्पन्न दुर्गंध को समाप्त कर देता है इसलिए इसका प्रयोग साबुनों में किया जाता है।
प्रश्न 23.
किस प्रकार के अपमार्जक का उपयोग कीटाणुनाशक के रूप में किया जाता है?
उत्तर :
धनायनिक अपमार्जकों का।
प्रश्न 24.
किन अपमार्जकों को बर्तन धोने के लिए प्रयोग किया जाता है?
उत्तर :
अन-आयनिक अपमार्जकों को।
प्रश्न 25.
किस प्रकार के अपमार्जक जैव अनिम्नीकरणीय होते हैं?
उत्तर :
अत्यधिक शाखित अपमार्जक।
प्रश्न 26.
उस प्रतिऑक्सीकारक का नाम लिखिए जो मक्खन के भण्डारण के लिए प्रयुक्त होता है।
उत्तर :
BHA या सस्टेन।
लघु उत्तरीय प्रश्न
प्रश्न 1.
प्रतिहिस्टैमिन क्या होते हैं। दो उदाहरण दीजिए। समझाइए कि ये मानव शरीर पर कैसे कार्य करते हैं?
उत्तर :
वे ड्रग जो हिस्टैमिन के प्रभावों को समाप्त करने के लिए प्रयोग की जाती हैं, प्रतिहिस्टैमिन कहलाती हैं।
उदाहरणार्थ :
ब्रोमफेनिरामिन, टरफेनाडिन, डाइफेनिलहाइड्रेजीन, क्लोरफेनिरैमीन मैलिएट आदि। प्रतिहिस्टैमिन हिस्टैमिन के साथ ‘ग्राही की उस बंधनी सतह के लिए प्रतिस्पर्धा करती हैं जिस पर हिस्टैमिन अपना प्रभाव डालती हैं। इस प्रकार ये हिस्टैमिन के प्राकृतिक कार्य में बाधा डालती हैं तथा हमारे । शरीर को उनके प्रभावों से मुक्ति दिलाती हैं।
प्रश्न 2.
ऐण्टीफर्टीलिटी ड्रग्स (antifertility drugs) से आप क्या समझते हैं? समझाइए।
उत्तर :
वे रासायनिक पदार्थ जो जनन अथवा उत्पादकता (productivity) पर नियन्त्रण रखते हैं, प्रतिजनन क्षमता औषधि (antifertility drugs) कहलाते हैं। इनको विकसित करने का उद्देश्य विश्व की बढ़ती हुई आबादी को कम करना एवं उसको नियन्त्रित करना है। इस दिशा में प्रयोग चूहे, मानव, खरगोश एवं बन्दरों पर करके सार्थक परिणाम निकाले गए। जनन नियन्त्रण औषधियों में संश्लेषित ऐस्ट्रोजन (estrogen) तथा प्रोजेस्टेरोन (progesterone) व्युत्पन्नों का मिश्रण होता है। संश्लेषित प्रोजेस्टोरोन व्युत्पन्न प्राकृतिक प्रोजेस्टेरोन से अधिक प्रभावशाली होते हैं। दोनों ही यौगिक हॉर्मोन होते हैं।
(1) संश्लेषित एस्ट्रोजन :
मौखिक गर्भ निरोधकों के रूप में दो संश्लेषित एस्ट्रोजन प्रयोग किए जा रहे हैं; जैसे-एथाइनिल एस्ट्रोडाइऑल (ethynyl estradiol)।
(2) संश्लेषित प्रोजेस्टेरोन :
ये तीन प्रकार के होते हैं— प्रेगानेन, ओएस्ट्रॉन और गोनॉन। इनमें प्रेगानेन लम्बे समय तक नहीं दी जाती है क्योंकि स्तन कैंसर का भय रहता है। इसी प्रकार ओएस्ट्रॉन जिसे 19 – नॉरटेस्टोस्टेरोन भी कहते हैं, का अधिक समय तक प्रयोग नहीं किया जाता है। गोनॉन सबसे पसंदीदा गर्भ निरोधक हॉर्मोन है जो आजकल प्रयुक्त की जा रही है।
प्रोजेस्टेरोन अण्डोत्सर्ग को निरोधित करता है। नॉरएथिनड्रॉन (norethindrone) संश्लेषित प्रोजेस्टेरोन व्युत्पन्न को एक उदाहरण है जो व्यापक रूप से जनन नियन्त्रण गोलियों में प्रयोग होता है। एथाइनिलएस्ट्राडाइऑल (ethynylestradiol) एक एस्ट्रोजन व्युत्पन्न है जो प्रोजेस्टेरोन व्युत्पन्न के साथ जनन नियन्त्रण गोलियों में प्रयुक्त होता है।

माइफप्रिस्टॉन एक संश्लेषित स्टेरॉयड है। यह प्रोजेस्टेरोन के प्रभाव को अवरोधित करके गर्भ नियन्त्रण का कार्य करता है।

गर्म निरोधक औषधियों के विभिन्न पार्श्व प्रभाव हैं; जैसे :
- ये मासिक धर्म को अकथनीय रूप में, लम्बे समय के लिए अधिक रक्तस्राव में बदल देती हैं।
- इनसे बाँझपन भी उत्पन्न हो जाता है।
- इनसे महिलाओं का वजन भी बढ़ता है।
प्रश्न 3.
प्रतिऑक्सीकारक पर संक्षिप्त टिप्पणी लिखिए।
उत्तर :
प्रतिऑक्सीकारक :
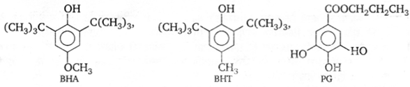
वे रासायनिक पदार्थ जो वसा तथा वसा युक्त पदार्थों से मिलकर उनके ऑक्सीकरण को रोकते हैं और उनके जीवनकाल को बढ़ाते हैं, प्रतिऑक्सीकारक कहलाते हैं। ये ऑक्सीजन के प्रति अत्यन्त क्रियाशील होते हैं। प्रतिस्थापी फीनॉलिक (phenolic) यौगिकों का उपयोग । प्रतिऑक्सीकारक के रूप में होता है। ब्यूटिल हाइड्रॉक्सी ऐनिसोल (BHA) (butyl hydroxy anisol) एक अविषैला (non-toxic) प्रतिऑक्सीकारक है जिसका व्यापारिक नाम सस्टेन (sustane) है। यह मक्खन के लिए अच्छा ऑक्सीकारक है। इसके अतिरिक्त ब्यूटिल हाइड्रॉक्सी टॉलूईन (BHT) 2, 3 – डाइतृतीयक ब्यूटिल p-ऐनिसॉल (2, 3 – ditertiary butyl p anisol) (BHA) तथा प्रोपिल-3, 4, 5 -ट्राइहाइड्रॉक्सी बेन्जोएट (propyl-3, 4, 5 -trihydroxy benzoate) जिसे प्रोपिल गैलेट (propyl gallate) या (PG) भी कहते हैं, आदि प्रतिऑक्सीकारक हैं। ये बहुत कम सान्द्रता (< 0.01%) पर प्रभावी होते हैं। ये भोज्य पदार्थ में उपस्थित आवश्यक वसीय अम्ल (fatty acids) तथा विटामिन (vitamins) के पौष्टिक मान (nutritional value) को बराबर रखते हैं।

इसके अतिरिक्त, विटामिन E, सल्फर डाइऑक्साइड तथा ऐस्कॉर्बिक अम्ल विटामिन C को भी प्रतिऑक्सीकारक के रूप में प्रयुक्त किया जा सकता है। इनका उपयोग सामान्य रूप में शराब व बीयर, मीठे तरल पदार्थ, सब्जी तथा कटे, छिले शुष्क फलों के लिए प्रतिऑक्सीकारकों के रूप में किया जाता है। ऐस्कॉर्बिक अम्ल एन्जाइमकृत फेनिल यौगिक के ऑक्सीकरण से उत्पन्न भूरेपन को रोकता है।
प्रश्न 4.
निम्न पर टिप्पणी लिखिए|
(i) ऐस्प्रिन औषधि हृदयाघात से बचाती है।
(ii) डायबिटीज रोगियों को प्राकृतिक मधुरकों के स्थान पर कृत्रिम मधुरक लेने की सलाह दी जाती है।
(iii) अपमार्जक जैव अनिम्नीकरणीय होते हैं जबकि साबुन जैव निम्नीकरणीय होते हैं।
उत्तर :
(i) ऐस्प्रिन औषधि हृदयाघात से बचाती है, क्योंकि यह रक्त स्कन्दन रोधी होती है अर्थात् यह रक्त के स्कन्दित होने को कम करती है और स्कन्दित रक्त को तरल में परिवर्तित करती है जिससे रक्त का सुचारु प्रवाह शरीर में होता रहता है और हम हृदयाघात से बच जाते हैं।
(ii) डायबिटीज रोगियों को प्राकृतिक मधुरकों के स्थान पर कृत्रिम मधुरक लेने की सलाह दी जाती है, क्योंकि प्राकृतिक मधुरक रक्त शर्करा के स्तर को बढ़ाते हैं, जबकि कृत्रिम मधुरक रक्त शर्करा का स्तर नहीं बढ़ाते हैं जिससे रोगी स्वस्थ रहता है।
(iii) अपमार्जकों में अत्यधिक शाखित हाइड्रोकार्बन श्रृंखलाएँ होती हैं जिन्हें जीवाणु अपघटित नहीं कर पाते हैं, जबकि साबुन को जीवाणु आसानी से अपघटित कर देते हैं। इसलिए अपमार्जक जैव अनिम्नीकरणीय व साबुन जैव निम्नीकरण होते हैं।
दीर्घ उत्तरीय प्रश्न
प्रश्न 1.
औषध तथा एन्जाइम के मध्य अन्योन्यक्रिया को समझाइए।
उत्तर :
1. औषध तथा एन्जाइम के मध्य अन्योन्यक्रिया (Interaction between Drug and Enzyme) :
जैविक वृहद्-अणु शरीर में विभिन्न कार्य करते हैं जैसे जैव उत्प्रेरक का कार्य करने वाले प्रोटीन्स को एन्जाइम कहते हैं तथा जो प्रोटीन शरीर की संचार व्यवस्था में निर्णायक होते हैं, उन्हें ग्राही कहते हैं। औषध साधारणतया इन वृहद्-अणुओं से अन्योन्यक्रिया करती हैं। औषध तथा एन्जाइम के मध्य अन्योन्यक्रिया को समझने के लिए यह जानना आवश्यक है कि एन्जाइम अभिक्रिया का उत्प्रेरण कैसे करते हैं।
2. एन्जाइम का उत्प्रेरण कार्य (Catalytic Function of Enzyme) :
उत्प्रेरण क्रिया में एन्जाइम दो प्रमुख कार्य करते हैं जो निम्नलिखित हैं

(i) एन्जाइम का पहला कार्य क्रियाधार (सबस्ट्रेट) को रासायनिक अभिक्रिया के लिए बाँधे रखना है। एन्जाइम की सक्रिय सतह क्रियाधार अणु को उपयुक्त स्थिति में बाँधे रखती है जिससे इस पर अभिक्रियक द्वारा प्रभावकारी आक्रमण हो सके। क्रियाधार एन्जाइम की सक्रिय सतह पर विभिन्न प्रकार की अन्योन्यक्रियाओं द्वारा बँधते हैं; जैसे-आयनिक आबन्ध, हाइड्रोजन आबन्ध, वान्डरवाल्स अन्योन्यक्रिया या द्विध्रुव-द्विध्रुव बल।
(ii) एन्जाइम का दूसरा कार्य क्रियाधार पर आक्रमण करके रासायनिक अभिक्रिया करने के लिए प्रकार्यात्मक समूह उपलब्ध कराना है, जो क्रियाधार पर आक्रमण करके रासायनिक अभिक्रिया करेगा। औषध-एन्जाइम अन्योन्यक्रिया
3. (Drug-Enzyme Interaction) :
औषध एन्जाइम की उपर्युक्त गतिविधियों में से किसी में भी अवरोध उत्पन्न करती हैं। ये एन्जाइम की बन्धनी सतह को अवरुद्ध कर सकती हैं और क्रियाधार के आबन्धन में रुकावट डाल सकती हैं अथवा ये एन्जाइम के उत्प्रेरक कार्य में अवरोध उत्पन्न कर सकती हैं, ऐसी औषधों को एन्जाइम संदमक (enzyme inhibitors) कहते हैं। औषध एन्जाइम की सक्रिय सतह पर क्रियाधार के संयोजन में दो प्रकार से अवरोध उत्पन्न कर सकती हैं
(i) औषध एन्जाइम की सक्रिय सतह पर संयोजन के लिए वास्तविक क्रियाधार से स्पर्धा करती हैं। ऐसी औषधों को स्पर्धा संदमक (competitive inhibitors) कहते हैं।

(ii) कुछ औषध एन्जाइम की सक्रिय सतह पर संयोजन नहीं करतीं। ये एन्जाइम की भिन्न सतह पर संयोजन करती हैं जिसे ऐलोस्टीरिक सतह कहते हैं। इस प्रकार संदमके के ऐलोस्टीरिक सतह पर संयोजन से सक्रिय सतह की आकृति इस प्रकार परिवर्तित हो जाती है कि क्रियाधार इसे पहचान नहीं

यदि एन्जाइम तथा संदमक के बीच बना आबन्ध मजबूत सहसंयोजी आबन्ध हो और आसानी से तोड़ा न जा सके तो एन्जाइम स्थायी रूप से अवरुद्ध हो जाता है, तब शरीर एन्जाइम-संदमक संकुल को निम्नीकृत कर देता है और नया एन्जाइम बनाता है।