UP Board Solutions for Class 11 Biology Chapter 9 Biomolecules (जैव अणु)
अभ्यास के अन्तर्गत दिए गए प्रश्नोत्तर
प्रश्न 1.
वृहत अणु क्या है? उदाहरण दीजिए।
उत्तर :
जो तत्त्व अम्ल अविलेय अंश में पाये जाते हैं वे वृहत् अणु या वृहत् जैविक अणु कहलाते हैं।
उदाहरणार्थ :
(i) न्यूक्लिक अम्ल।
प्रश्न 2.
ग्लाइकोसाइडिक, पेप्टाइड तथा फॉस्फोडाइएस्टर बन्धों का वर्णन कीजिए।
उत्तर :
1. ग्लाइकोसाइडिक बन्ध (Glycosidic Bond) :
बहुलकीकरण में मोनोसैकेराइड अणु एक-दूसरे के पीछे जिस सहसंयोजी बन्ध द्वारा जुड़ते हैं उसे ग्लाइकोसाइडिक बन्ध कहते हैं। इस बन्ध में एक मोनोसैकेराइड अणु का ऐल्डिहाइड या कीटोन समूह दूसरे अणु के एक ऐल्कोहॉलिय अर्थात् हाइड्रॉक्सिल समूह (-OH) से जुड़ता है जिसमें कि जल (H,O) का एक अणु पृथक् हो जाता है।
2. पेप्टाइड बन्ध (Peptide Bond) :
जिस बन्ध द्वारा अमीनो अम्लों के अणु एक-दूसरे से आगे-पीछे जुड़ते हैं, उसे पेप्टाइड या ऐमाइड बन्ध कहते हैं। यह बन्ध सहसंयोजी होता है और एक अमीनो अम्ल के कार्बोक्सिलिक समूह की अगले अमीनो अम्ल के अमीनो समूह से अभिक्रिया के फलस्वरूप बनता है। इसमें जल का एक अणु हट जाता है।
3. फॉस्फोडाइएस्टर बन्ध (Phosphodiester Bonds) :
न्यूक्लीक अम्ल के न्यूक्लिओटाइड्स (nucleotides) फॉस्फोडाइएस्टर बन्धों (phosphodiester bonds) द्वारा एक-दूसरे से संयोजित होकर पॉलीन्यूक्लियोटाइड श्रृंखला बनाते हैं। फॉस्फोडाइएस्टर बन्ध समीपवर्ती दो न्यूक्लियोटाइड्स के फॉस्फेट अणुओं के मध्य बनता है। DNA की दोनों पॉलीन्यूक्लियोटाइड श्रृंखलाओं के नाइट्रोजन क्षारक हाइड्रोजन बन्धों द्वारा जुड़े होते हैं।
प्रश्न 3.
प्रोटीन की तृतीयक संरचना से क्या तात्पर्य है?
उत्तर :
प्रोटीन की तृतीयक संरचना के अन्तर्गत प्रोटीन की एक लम्बी कड़ी अपने ऊपर ही ऊन के एक खोखले गोले के समान मुड़ी हुई होती है यह संरचना प्रोटीन के त्रिआयामी रूप को प्रदर्शित करती है।
प्रश्न 4.
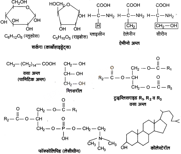
10 ऐसे रुचिकर सूक्ष्म जैव अणुओं का पता लगाइए जो कम अणुभार वाले होते हैं व इनकी संरचना बनाइए। ऐसे उद्योगों का पता लगाइए जो इन यौगिकों का निर्माण विलगन द्वारा करते हैं? इनको खरीदने वाले कौन हैं? मालूम कीजिए।
उत्तर :
सूक्ष्म जैव अणु जीवधारियों में पाए जाने वाले सभी कार्बनिक यौगिकों को जैव अणु कहते हैं।
(i) कार्बोहाइड्रेट्स (Carbohydrates); जैसे :
ग्लूकोस, फ्रक्टोस, राइबोस, डिऑक्सीराइबोस शर्करा, माल्टोस आदि।
(ii) वसा व तेल (Fat & Oils) :
पामिटिक अम्ल, ग्लिसरॉल, ट्राइग्लिसराइड, फॉस्फोलिपिड्स, कोलेस्टेरॉल आदि।
(iii) ऐमीनो अम्ल (Amino Acids) :
ग्लाइसीन, ऐलेनीन, सीरीन आदि।।
(iv) नाइट्रोजन क्षारक (Nitrogenous Base) :
ऐडेनीन (adenine), ग्वानीन : (guanine), थायमीन (thymine), यूरेसिल (uracil), सायटोसीन (cytosine) आदि।


शर्करा उद्योग, तेल एवं घी उद्योग, औषधि उद्योग आदि इनका निर्माण करते हैं। मनुष्य इनका उपयोग अपनी शारीरिक आवश्यकताओं की पूर्ति हेतु करती है।
प्रश्न 5.
प्रोटीन में प्राथमिक संरचना होती है, यदि आपको जानने हेतु ऐसी विधि दी गई है जिसमें प्रोटीन के दोनों किनारों पर ऐमीनो अम्ल है तो क्या आप इस सूचना को प्रोटीन की शुद्धता अथवा समांगता (homogeneity) से जोड़ सकते हैं?
उत्तर :
प्रोटीन्स की पॉलीपेप्टाइड श्रृंखलाएँ लम्बी व रेखाकार होती हैं। प्रोटीन कुण्डलन एवं वलन द्वारा विभिन्न प्रकार की आकृति धारण करती हैं। इन्हें प्रोटीन्स के प्राकृत संरूपण (native conformations) कहते हैं। प्रोटीन के प्राकृत संरूपण चार स्तर के होते हैं—प्राथमिक, द्वितीयक, तृतीयक एवं चतुष्क स्तर। पॉलीपेप्टाइड श्रृंखला में पेप्टाइड बन्धों द्वारा जुड़े ऐमीनो अम्लों के अनुक्रम प्रोटीन की संरचना का प्राथमिक स्तर प्रदर्शित करते हैं। प्रोटीन में ऐमीनो अम्लों का अनुक्रमे इसके जैविक प्रकार्य का निर्धारण करता है।
पॉलीपेप्टाइड श्रृंखला के एक सिरे पर प्रथम ऐमीनो अम्ल का खुला ऐमीनो समूह तथा दूसरे सिरे पर अन्तिम ऐमीनो अम्ल का खुला कार्बोक्सिल समूह (carboxyl group) होता है। अतः इन सिरों को क्रमशः N-छोर तथा C-छोर कहते हैं। इससे प्रोटीन की शुद्धता या समांगता प्रदर्शित होती है।
प्रश्न 6.
चिकित्सार्थ अभिकर्ता (therapeutic agents) के रूप में प्रयोग में आने वाले प्रोटीन का पता लगाइए व सूचीबद्ध कीजिए। प्रोटीन की अन्य उपयोगिताओं को बताइए। (जैसे-सौन्दर्य-प्रसाधन आदि)।
उत्तर :
साइटोक्रोम ‘C’, हीमोग्लोबिन तथा इम्यूनोग्लोबिन ‘G’ चिकित्सार्थ अभिकर्ता के रूप में प्रयोग में आने वाले प्रोटीन हैं। प्रोटीन के निम्नलिखित कार्यों की वजह से इनकी उपयोगिता अधिक है।
- लगभग सभी एन्जाइम्स (enzymes) प्रोटीन के बने होते हैं।
- थ्रोम्बिन (thrombin) तथा फाइब्रोजिन (fibrogen) रुधिर प्रोटीन्स हैं जो चोट लगने पर रुधिर का थक्का बनने में सहायक होती हैं।
- एक्टिन तथा मायोसिन (actin & myosin) संकुचन प्रोटीन्स हैं जो सभी कंकालीय पेशियों के संकुचन में भाग लेती हैं।
- रेशम में फाइब्रोइन (fibroin) प्रोटीन होती है।
- कुछ हार्मोन्स; जैसे—अग्र पिट्यूटरी ग्रन्थि का वृद्धि हार्मोन (somatotropic) तथा अग्न्याशय ग्रन्थि से स्रावित इन्सुलिन (insulin) हार्मोन शुद्ध प्रोटीन के बने होते हैं।
- एन्टीबॉडीज या इम्यूनोग्लोब्यूलिन जोकि शरीर की सुरक्षा करती है प्रोटीन से ही बनी होती है।
प्रश्न 7.
ट्राइग्लिसराइड के संगठन का वर्णन कीजिए।
उत्तर :
एक ग्लिसरॉल (glycerol or glycerine) अणु से एक-एक करके तीन वसीय अम्ल अणुओं के तीन सहसंयोजी बन्धों (covalent bonds) द्वारा जुड़ने से वास्तविक वसा का एक अणु बनता है। इन बन्धों को एस्टर बन्ध (ester bonds) कहते हैं। ग्लिसरॉल एक ट्राइहाइड्रिक ऐल्कोहॉल trihydric alcohol) होता है, क्योंकि इसकी कार्बन श्रृंखला के तीनों कार्बन परमाणुओं से एक-एक हाइड्रॉक्सिल समूह (hydroxyl group, -OH) जुड़ा होता है। एस्टर बन्ध प्रत्येक हाइड्रॉक्सिल समूह तथा एक वसीय अम्ल के कार्बोक्सिल समूह ( COOH) के बीच बनती है। इसीलिए वसा अणु को ट्राइग्लिसराइड या ट्राइऐसिलग्लिसरॉल (triglyceride or triacylglycerol) कहते हैं।

प्रश्न 8.
क्या आप प्रोटीन की अवधारणा के आधार पर वर्णन कर सकते हैं कि दूध का दही अर्थवा योगर्ट में परिवर्तन किस प्रकार होता है?
उत्तर :
दूध की विलेय प्रोटीन केसीनोजन (caseinogen) को अविलेय केसीन (casein) में बदलने का कार्य रेनिन (rennin) एन्जाइम तथा स्ट्रेप्टोकोकस जीवाणु करते हैं। ये किण्वन द्वारा दूध को ही या योगर्ट में बदल देते हैं; क्योंकि केसीनोजन प्रोटीन अवक्षेपित हो जाती है।
प्रश्न 9.
क्या आप व्यापारिक दृष्टि से उपलब्ध परमाणु मॉडल (बॉल व स्टिक नमूना) का प्रयोग करते हुए जैव अणुओं के उन प्रारूपों को बना सकते हैं?
उत्तर :
बॉल व स्टिक नमूना (Ball and Stick Model) के द्वारा जैव अणुओं के प्रारूपों को प्रदर्शित किया जा सकता है।
प्रश्न 10.
ऐमीनो अम्लों का दुर्बल क्षार से अनुमापन (itrate) कर, ऐमीनो अम्ल में वियोजी क्रियात्मक समूहों का पता लगाने का प्रयास कीजिए।
उत्तर :
ऐमीनो अम्लों का दुर्बल क्षार से अनुमापन करने से कार्बोक्सिल समूह (-COOH) तथा ऐमीनो समूह (-NH2) पृथक् हो जाते हैं।
प्रश्न 11.
ऐलेनीन ऐमीनो अम्ल की संरचना बताइए।
उत्तर :
ऐलेनीन में R समूह अत्यधिक जलरोधी हाइड्रोकार्बन समूह होते हैं जिन्हें पार्श्व श्रृंखलाएँ कहते हैं। इसमें पाश्र्व श्रृंखला मेथिल समूह की होती है।
प्रश्न 12.
गोंद किससे बने होते हैं? क्या फेविकोल इससे भिन्न है?
उत्तर :
गोंद (Gum) :
यह एक द्वितीयक उपापचयज (secondary metabolite) है। यह एक कार्बोहाइड्रेट बहुलक (polymer) है। गोंद पौधों की काष्ठ वाहिकाओं (xylem vessels) से प्राप्त होने वाला उत्पाद है। यह कार्बनिक घोलक में अघुलनशील होता है। गोंद जल के साथ चिपचिपा घोल (sticky solution) बनाता है। फेविकोल (fevicol) एक कृत्रिम औद्योगिक उत्पाद है।
प्रश्न 13.
प्रोटीन, वसा व तेल, ऐमीनो अम्लों का विश्लेषणात्मक परीक्षण बताइए एवं किसी भी फल के रस, लार, पसीना तथा मूत्र में इनका परीक्षण कीजिए?
उत्तर :
प्रोटीन एवं ऐमीनो अम्ल का परीक्षण प्रोटीन के वृहत् अणु (macromolecules) ऐमीनो अम्लों की लम्बी श्रृंखलाएँ होते हैं। ऐमीनो अम्ल पेप्टाइड बन्धों द्वारा जुड़े रहते हैं। इनका आण्विक भार बहुत अधिक होता है। अण्डे की सफेदी, सोयाबीन, दालों (मटरे, राजमा आदि) में प्रोटीन (ऐमीनो अम्ल) प्रचुर मात्रा में पाई जाती हैं। अण्डे की सफेदी या दालों (सेम, चना, मटरे, राजमा) आदि को जल के साथ पीसकर पतली लुगदी बना लेते हैं। इसे जल के साथ उबाल कर छान लेते हैं। निस्वंद द्रव में प्रोटीन (ऐमीनो अम्ल) होती है।
प्रयोग 1 :
एक परखनली में 3 मिली प्रोटीन नियंद लेकर, इसमें 1 मिली सान्द्र नाइट्रिक अम्ल (HNO3) मिलाइए। सफेद अवक्षेप बनता है। परखनली को गर्म करने पर अवक्षेप घुल जाता है तथा विलयन का रंग पीला हो जाता है। अब इसे ठण्डा करके इसमें 10% सोडियम हाइड्रॉक्साइड (NaOH) विलयन मिलाते हैं। परखनली में विलयन का रंग पीले से नारंगी हो जाता है।
प्रयोग 2 :
एक परखनली में प्रोटीन नियंद की 1 मिली मात्रा लेकर इसमें लगभग 1 मिली मिलन अभिकर्मक (Millon’s Reagent) मिलाने पर हल्के पीले रंग का अवक्षेप बनता है। इस अवक्षेप में 4-5 बूंदें सोडियम नाइट्रेट (NaNO3,) की मिलाकर विलयन को गर्म करने पर अवक्षेप का रंग लाल हो जाता है।
वसा व तेल का परीक्षण
ये जल में अविलेय और ईथर, पेट्रोल, क्लोरोफॉर्म आदि में घुलनशील (विलेय) होती हैं। साधारण ताप पर जब वसाएँ ठोस होती हैं तो वसा (चर्बी-fat) और जब ये तरल होती हैं तो तेल (oil) कहलाती हैं। पादप वसाएँ असंतृप्त (नारियल का तेल तथा ताड़ का तेल संतृप्त) तथा जन्तु वसाएँ संतृप्त होती हैं।
प्रयोग 1 :
मूंगफली के कच्चे दाने लेकर उनको सफेद कागज पर रखकर पीस लीजिए। अब इस कागज के टुकड़े को प्रकाश के किसी स्रोत की ओर रखकर देखिए। यह अल्पपारदर्शी नजर आता है। इस पर एक बूंद पानी डालकर देखिए। कागज पर पानी का प्रभाव नहीं होता। यह प्रयोग जन्तु वसा (देशी घी) के साथ भी किया जा सकता है।
प्रयोग 2 :
एक परखनली में 0:5 मिली परीक्षण तेल या वसा तथा 0:5 मिली जल (दोनों बराबर मात्रा में) लेते हैं। अब इसमें 2-3 बूंदें सुडान-III विलयन की डालकर हिलाते हैं तथा पाँच मिनट तक ऐसे ही रख देते हैं। परखनली में जल तथा तेल की पृथक् पर्यों में, तेल की पर्त लाल नजर आती है। (नोट-फल के रस, लार, पसीना तथा मूत्र में इनका परीक्षण उपर्युक्त विधियों द्वारा किया जा सकता है।)
प्रश्न 14.
पता लगाइए कि जैवमण्डल में सभी पादपों द्वारा कितने सेलुलोस का निर्माण होता है? इसकी तुलना मनुष्यों द्वारा उत्पादित कागज से कीजिए। मानव द्वारा प्रतिवर्ष पादप पदार्थों की कितनी खपत की जाती है? इसमें वनस्पतियों की कितनी हानि होती है?
उत्तर :
सेलुसोस (cellulose) पृथ्वी पर सबसे अधिक मात्रा में पाए जाने वाला कार्बोहाइड्रेट है। यह जटिल बहुलक होता है। पादपों में सेलुलोस की मात्रा सर्वाधिक होती है। यह पादप कोशिकाओं की कोशिका भित्ति को यान्त्रिक दृढ़ता प्रदान करता है। पौधों के काष्ठीय भागों व कपास तथा रेशेदार पौधों में इसकी मात्रा बहुत अधिक होती है। काष्ठ में लगभग 50% तथा कपास के रेशे में इसकी मात्रा लगभग 90% होती है। मनुष्य द्वारा सेलुलोस का उपयोग ईंधन तथा इमारती लकड़ी के रूप में, तन्तुओं के रूप में वस्त्र निर्माण, कृत्रिम रेशे निर्माण, कागज निर्माण में प्रमुखता से किया जाता है। नाइट्रोसेलुलोस का उपयोग विस्फोटक पदार्थ के रूप में किया जाता है। इसका उपयोग पारदर्शी प्लास्टिक सेलुलॉयड, (celluloid) बनाने के लिए किया जाता है जिससे खिलौने, कंघे आदि बनाए जाते हैं। मनुष्य‘सेलुलोस का सबसे बड़ा उपभोक्ता है। मनुष्य अपनी आवश्यकताओं की पूर्ति के लिए वनस्पतियों को हानि पहुँचा रहा है। इसके फलस्वरूप प्राकृतिक वन क्षेत्रों में निरन्तर कमी होती जा रही है। पारितन्त्र के प्रभावित होने के कारण अनेक पादप प्रजातियाँ विलुप्त होती जा रही हैं।
प्रश्न 15.
एन्जाइम के महत्त्वपूर्ण गुणों का वर्णन कीजिए।
उत्तर-
एन्जाइमों के महत्त्वपूर्ण गुण निम्नवत् हैं-
- विकर (enzymes), उत्प्रेरकों (catalyst) के रूप में कार्य करते हैं और जीवों (living organisms) में अभिक्रिया की दर (rate of reaction) को प्रभावित करते हैं।
- क्रियाधारों (reactants or substrate) को उत्पादों (products) में बदलने के लिए एन्जाइम की बहुत सूक्ष्म मात्रा अथवा सान्द्रता की आवश्यकता होती है।
- एन्जाइम उत्प्रेरक (enzyme catalyst) उच्च अणुभार के, जटिल, नाइट्रोजनी कार्बनिकः यौगिक, प्रोटीन होते हैं जो जीवित कोशिकाओं में उत्पन्न होते हैं। एन्जाइम का अणु उसके क्रियाधार के अणु की तुलना में बहुत बड़ा होता है। एन्जाइम का आणविक भार हजारों से लेकर लाखों तक होता है, जबकि क्रियाधारों का अणुभार प्रायः कुछ सैकड़ों में ही होता है।
- ये किसी रासायनिक क्रिया को प्रारम्भ नहीं करते, बल्कि क्रिया की गति को उत्प्रेरित (catalysed) करते हैं।
- अधिकांश एन्जाइम जल अथवा नमक के घोल में घुलनशील होते हैं। कोशिकाद्रव्य में ये कोलॉइडी (colloidal) विलयन बनाते हैं।
- एन्जाइम जीवों में होने वाली समस्त शरीर-क्रियात्मक अभिक्रियाओं (physiological reactions), जैसे-जल-अपघटन, ऑक्सीकरण, अपचयन, अपघटन आदि को उत्प्रेरित करते हैं।
- एन्जाइम प्रायः विशिष्ट (specific) होते हैं, अर्थात् एक एन्जाइम एक विशेष क्रिया का ही उत्प्रेरण करता है। उदाहरणार्थ-एन्जाइम इन्वटेंस (invertase) केवल सुक्रोस के जल-अपघटन को उत्प्रेरित करता है।

इन्वटेंस (invertase) एन्जाइम द्वारा माल्टोस का ग्लूकोस में जल-अपघटन उत्प्रेरित नहीं होता - एन्जाइम ताप परिवर्तन से अत्यधिक प्रभावित होते हैं। किसी एन्जाइम की उत्प्रेरक सक्रियता जिस ताप पर सर्वाधिक होती है उसे अनुकूलन ताप (optimum temperature) कहते हैं। अनुकूलन ताप पर अभिक्रिया की दर उच्चतम होती है। अधिक ताप पर एन्जाइम की विकृति (denatured) हो जाती है अर्थात् एन्जाइम की प्रोटीन संरचना और उसकी उत्प्रेरक सक्रियता नष्ट हो जाती है। एन्जाइमों का अनुकूलन ताप साधारणत: 25-40°C होता है। बहुत कम ताप पर एन्जाइम निष्क्रिय (inactive) हो जाते हैं।
- एन्जाइम उत्प्रेरित अभिक्रियाओं की दर pH परिवर्तमं से बहुत प्रभावित होती है। प्रत्येक एन्जाइम एक विशेष pH माध्यम में ही पूर्ण सक्रिय होता है। प्रत्येक एन्जाइम की उत्प्रेरक सक्रियता जिस pH पर अधिकतम होती है उसे अनुकूलनःH (optimum pH) कहते हैं। एन्जाइमों की अनुकूलन pH साधारणत: 5-7 होती है।
- कुछ एन्जाइम अम्लीय माध्यम में तथा कुछ क्षारीय माध्यम में क्रिया करते हैं।
- कुछ एन्जाइम कोशिका के अन्दर सक्रिय होते हैं तथा कुछ एन्जाइम कोशिका के बाहर भी सक्रिय होते हैं।
परीक्षोपयोगी प्रश्नोत्तर
बहुविकल्पीय प्रश्न
प्रश्न 1.
एन्जाइम की रासायनिक प्रकृति (स्वभाव) है।
(क) वसा
(ख) कार्बोहाइड्रेट्स
(ग) हाइड्रोकार्बन
(घ) प्रोटीन
उत्तर :
(घ) प्रोटीन
प्रश्न 2.
उस विकर (एन्जाइम) का नाम लिखिए जो बेकरी उद्योग में प्रयुक्त होता है।
(क) फॉस्फेटेज
(ख) एमाइलेज
(ग) जाइमेज
(घ) फॉस्फोरिलेज
उत्तर :
(ख) एमाइलेज
अतिलघु उत्तरीय प्रश्न
प्रश्न 1.
फॉस्फो-प्रोटीन्स के दो उदाहरण दीजिए।
उत्तर :
फॉस्फो-प्रोटीन्स में फॉस्फोरस सम्मिलित होता है; जैसे-दुग्ध प्रोटीन-केसीन (castin), अण्डे की पीतक प्रोटीन-फॉस्फोवाइटिन (phosphovitin) आदि।
प्रश्न 2.
वसा अम्ल क्या है?
उत्तर :
वसा अम्ल (fatty acids) लम्बी हाइड्रोकार्बन श्रृंखला वाले कार्बोक्सिलिक अम्ल (carboxylic acids) हैं।
प्रश्न 3.
दो आवश्यक वसा अम्लों के नाम लिखिए।
उत्तर :
जन्तुओं में वसीय अम्ल प्रायः संतृप्त होते हैं तथा पादपों में असंतृप्त। मनुष्य सहित सभी स्तनियों में लाइनोलीक (linoleic) तथा लाइनोलीनिक (linolenic) वसीय अम्ल शरीर की कोशिकाओं में संश्लेषित नहीं होते अतः ये दोनों केवल पादपों से प्राप्त होते हैं तथा आवश्यक (essential) वसीय अम्ल कहलाते हैं।
प्रश्न 4.
स्तनधारियों में दुग्ध शर्करा किस रूप में उपस्थित होती है?
उत्तर :
स्तनधारियों में दुग्ध शर्करा (milk sugar) एक डाइसैकेराइड (disaccharide)लैक्टोज (lactose) के रूप में पायी जाती है। यह हेटेरोडाइसैकेराइड (heterodisaccharide) होती है, क्योंकि इसका एक अणु ग्लूकोज एवं गैलेक्टोज के एक-एक अणु 3-1,4 से ग्लाइकोसिडिक बन्ध द्वारा जुड़ने से बनता है। यह पानी में कम घुलनशील तथा कम मीठी होती है।
प्रश्न 5.
प्रोटीन की संरचनात्मक इकाइयों को क्या कहते हैं? जन्तुओं में ये कितने प्रकार के होते हैं?
उत्तर :
प्रोटीन की संरचनात्मक इकाइयों को अमीनो अम्ल (amino acids) कहते हैं। ये जन्तु शरीर में 20 होते हैं जिनमें से 10 अमीनो अम्ल आवश्यक कहे जाते हैं, क्योंकि इनका संश्लेषण शरीर नहीं कर सकता है। शेष अनावश्यक कहलाते हैं जिनका संश्लेषण जन्तु शरीर स्वयं कर लेता है।
प्रश्न 6.
उपापचयी निष्क्रिय पदार्थ किसे कहते हैं? पौधों में संचित पदार्थ कार्बोहाइड्रेट का संक्षेप में वर्णन कीजिए।
उत्तर :
उपापचयी क्रिया के फलस्वरूप प्राप्त उत्पादों के निष्क्रिय रहने की अवस्था को उपापचयी निष्क्रिय पदार्थ कहते हैं। पौधों में संचित पदार्थ मण्ड (कार्बोहाइड्रेट) होता है जो कि एक पॉलिसैकेराइड है। इसमें ग्लूकोज इकाइयों से बने दो प्रकार के होमोपॉलिसैकेराइड अणु होते हैं-10 से 30% तक ऐमाइलोस के तथा 70 से 90% का ऐमाइलोपेक्टिन के अणु। ऐमाइलोपेक्टिन के अणु शाखान्वित और संकेन्द्रीय रूप से कुण्डलित होते हैं। ऐमाइलोस और ऐमाइलोपेक्टिन के अणु प्रायः समूहों में एकत्रित होकर विभिन्न आकृतियों एवं माप के मण्ड कण बना लेते हैं।
प्रश्न 7.
न्यूक्लियोसाइड्स तथा न्यूक्लियोटाइड्स में दो अन्तर बताइए।
उत्तर :
- एक न्यूक्लियोटाइड न्यूक्लिक अम्ल की एक पूर्ण इकाई है, जबकि न्यूक्लियोसाइड में एक फॉस्फेट मूलक (PO4) की कमी होती है।
- स्वभाव में न्यूक्लियोसाइड्स क्षारकीय होते हैं जबकि न्यूक्लियोटाइड्स अम्लीय होते हैं।
प्रश्न 8.
ATP तथा ADP के पूरे नाम लिखिए।
उत्तर :
- ATP = ऐडीनोसीन ट्राइफॉस्फेट (adenosine triphosphate)
- ADP = ऐडीनोसीन डाइफॉस्फेट (adenosine diphosphate)
प्रश्न 9.
जीवधारियों में खनिजों के दो कार्य लिखिए। या जीवन के लिए आवश्यक दो महत्त्वपूर्ण खनिज तत्त्वों के नाम लिखिए तथा इनके महत्त्व बताइए।
उत्तर :
- कई धात्विक खनिज अनेक एन्जाइम्स को क्रियाशील बनाते हैं अर्थात् सह-कारक (co-factor) का कार्य करते हैं; जैसे-लौह (Fe) एवं कॉपर (Cu)।
- कुछ खनिज; जैसे–सोडियम, पोटैशियम तथा क्लोराइड्स आयन्स के रूप में कोशिका कला की पारगम्यता (permeability) तथा विद्युत विभव को प्रभावित करते हैं।
लघु उत्तरीय प्रश्न
प्रश्न 1.
संदेश वाहक RNA पर संक्षिप्त टिप्पणी लिखिए।
उत्तर :
संदेशवाहक-RNA m-RNA, DNA के ऊपर निर्देशित सूचना का संदेशवाहक है। इसकी जीवन अवधि अल्प होती है। इसका संश्लेषण तीव्र गति से होता है। इसका अणुभार तथा लम्बाई सूचना संदेश के अनुसार कम या अधिक होती रहती है। m-RNA के विषय में सर्वप्रथम जानकारी ब्रेनर आदि (Brenner etal) ने 1961 ई० में दी। नीरेनबर्ग तथा मथाई (Nirenberg and Matthaei) ने 1961 ई० में प्रयोगशाला में कोशिका के बाहर प्रोटीन संश्लेषण में इसे दर्शाया। बेसीलस सबटिलिस (Bacillus subtilis) के m-RNA की अर्द्धआयु केवल 2.30 मिनट होती है। इसका अणुभार 50,000 से 2,00,000 डाल्टन तक हो सकता है। m-RNA सदैव एकरज्जुकी (single stranded) होता है। इसमें मिलने वाले क्षारक यूरेसिल, साइटोसीन, ग्वानीन तथा एडीनीन हैं। यह केन्द्रक में DNA से बनता है तथा प्रत्येक जीन अपना अलग m-RNA अनुलेखित (transcribe) करती है। जब m-RNA केवल एक जीन (सिस्ट्रोन) से बना होता है तब इसको मोनोसिस्ट्रोनिक अथवा मोनोजीनिक m-RNA (monocistronic or monogenic m-RNA) कहते हैं। यूकैरियोट का m-RNA मोनोसिस्ट्रोनिक होता है।
जब एक m-RNA दो या अधिक जीन से बनते हैं तब उसे पॉलिसिस्ट्रोनिक अथवा पॉलिजीनिक m-RNA (polycistronic or polygenic m-RNA) कहते हैं। प्रोकैरियोट का m-RNA पॉलिसिस्ट्रोनिक होता है। एक मोनोसिस्ट्रोनिक m-RNA की संरचना के निम्नलिखित भाग हैं
1. कैप (Cap) :
यूकैरियोट तथा कुछ विषाणुओं के m-RNA पर 5′ अन्त (5’end) पर 7-मिथाइल ग्वानोसीन समूह मिलता है। यह कैप (cap) कहलाता है। इस कैप के द्वारा ही m-RNA राइबोसोम से जुड़ता है। प्रोटीन संश्लेषण की गति इसकी उपस्थिति से तीव्र हो जाती है। क्योंकि यदि m-RNA पर कैप न हो तो वह राइबोसोम के साथ ठीक से नहीं जुड़ पाता है तथा प्रोटीन संश्लेषण की गति अति धीमी हो जाती है।
2. नॉन कोडिंग क्षेत्र :
(Non-coding Region )-कैप के पश्चात् 10 से 100 न्यूक्लिओटाइड होते हैं जो प्रोटीन संश्लेषण में भाग नहीं लेते हैं। इस क्षेत्र में ‘A’ तथा ‘U’ अधिक मात्रा में होते हैं।
3. इनीशिएसन कोडोन (Initiation Codon) :
सभी प्रोकैरियोट तथा यूकैरियोट में प्रोटीन संश्लेषण की शुरुआत इनीशिएशन कोडोन AUG से होती है।
4. कोडिंग क्षेत्र (Coding Region) :
यह AUG के पश्चात् उपस्थित क्षारक क्रमों का क्षेत्र है जो प्रोटीन संश्लेषण की क्रिया में भाग लेता है। इसमें उपस्थित सभी न्यूक्लिओटाइड एक जीन के निर्देश को प्रोटीन में अनुवादित करते हैं।
5. टर्मिनेटिंग कोडोन (Terminating Codon) :
ये क्षारक क्रम UAA, UAG या UGA से अंकित होते हैं। इन कोडोन के आते ही प्रोटीन बनने की श्रृंखला समाप्त हो जाती है।
6. पॉली ‘A’ क्रम (Poly ‘A’ Sequence) :
m-RNA के छोर (end) पर एक लम्बी लगभग 200 न्यूक्लिओटाइड की श्रृंखला होती है जो Adenylic acid (poly’A’ अर्थात् AAAAAA….A) क्रम में रहती है। यह m-RNA की पूँछ (tail) है। यह m-RNA के साइटोप्लाज्म तक पहुँचने से पूर्व केन्द्रक में जोड़ी जाती है।
प्रश्न 2.
ए०टी०पी० की संरचना तथा कार्य लिखिए। या पादप कोशिका में ऊर्जा की मुद्रा क्या है? किन्हीं तीन ऊर्जा वाहकों का नाम लिखिए।
उत्तर :
ए०टी०पी० या ऐडीनोसीन ट्राइफॉस्फेट
सभी जीवित कोशिकाओं में ए०टी०पी० अणु महत्त्वपूर्ण संरचना वाले पदार्थ हैं। ये अपने अन्तिम दो फॉस्फेट समूहों के अन्तर्गत अत्यधिक ऊर्जा को इस प्रकार संचित रखते हैं कि आवश्यकतानुसार (कम ऊर्जा वाले स्थान या समय में) टूटकर इसको मुक्त कर देते हैं और इस ऊर्जा का उपयोग जीव अपने कार्यों के सम्पादन हेतु कर लेता है। इस प्रकार, ये ऊर्जा के सिक्के (energy coins) हैं, जो सभी प्रकार की उपापचयिक क्रियाओं में, फिर चाहे ये उपचयी (anabolic) हों अथवा अपचयी (catabolic), अपना स्थान रखते हैं ऊर्जा ग्रहण करते हैं अथवा ऊर्जा मुक्त करते हैं, अतः इन्हें उपापचयी (metabolic) जगत का सिक्का भी कहते हैं।

किसी भी ऐसे स्थान पर, कोशिका में जहाँ ऊर्जा की कमी होती है, ATP का एक उच्च ऊर्जा बन्ध टूट जाता है और यह ADP (ऐडीनोसीन डाइफॉस्फेट) में बदल जाता है। इस प्रकार जो ऊर्जा प्राप्त होती है। वह सभी प्रकार की उपापचयी (metabolic) अभिक्रियाओं में प्रयुक्त होती है। विभिन्न प्रकार की ऑक्सीकारक क्रियाओं में (विशेषकर श्वसन में) ऊर्जा उत्पन्न होती है। यही ऊर्जा ABP से ATP बनाने के लिए प्रयुक्त की जाती है। ऊर्जा वाहक (Energy carriers)-पादप कोशिका में ए०टी०पी० (ATP) के अतिरिक्त कई अन्य पदार्थ भी ऊर्जा वाहक का कार्य करते हैं; जैसे
- ऐसीटिल को-एन्जाइम ‘ए’ (acetyl co-enzyme (‘A’)
- ग्वानोसीन ट्राइफॉस्फेट (guanosine triphosphate = GTP)
- निकोटिनेमाइड ऐडीनीन डाइन्यूक्लियोटाइड (nicotinamide adenine dinucleotide =NAD) इन ऊर्जा वाहकों का मुख्य मध्यस्थ यौगिक भी ए०टी०पी० ही होता है।
प्रश्न 3.
एन्जाइम के कार्यों का उल्लेख कीजिए।
उत्तर :
एन्जाइम्स के कार्य एन्जाइम्स वे रासायनिक पदार्थ हैं जो जीवों में होने वाली विभिन्न रासायनिक क्रियाओं की गति को प्रेरित करते हैं। ये सामान्यत: अभिक्रिया में भाग नहीं लेते हैं। ये मुख्य रूप से निम्नलिखित प्रकार के रासायनिक परिवर्तनों को प्रेरित करते हैं।
1. जल अपघटन (Hydrolysis) :
जब पदार्थ के अणु जल के अणु ग्रहण करके अपेक्षाकृत छोटे अणुओं में विघटित हो जाते हैं, इस प्रकार की क्रियाओं को जल अपघटन कहते हैं; जैसे—प्रोटीन्स जल अपघटन द्वारा प्रोटिओजेज, पेप्टोन्स, पॉलिपेप्टाइड्स (proteoses, peptones, polypeptides) तथा अन्त में अमीनो अम्ल (amino acid) में परिवर्तित हो जाते हैं। इसी प्रकार मण्ड, शर्करा आदि के मोनोसैकेराइड्स (monosaccharides) में परिवर्तन भी जल अपघटन क्रिया के ही उदाहरण हैं। जीवित कोशिकाओं में निर्जलीकरण (dehydration) की भी उतनी ही सम्भावनाएँ हैं जितनी कि जल अपघटन की होती हैं। इन्हें भी एन्जाइम्स ही प्रेरित करते हैं।
2. कार्बोक्सिलीकरण (Carboxylation) :
इस प्रकार की क्रियाओं में COOH-समूह विलग होने से कार्बन डाइऑक्साइड (CO2) का निर्माण होता है। पाइरुविक अम्ल (pyruvic acid), डीकार्बोक्सीलेज (decarboxylase) एन्जाइम द्वारा ऐसीटैल्डिहाइड (acetaldehyde) तथा CO2 में विघटित हो जाता है।![]()
यद्यपि इस क्रिया में को-फैक्टर तथा को–एन्जाइम भी कार्य करते हैं और यह क्रिया अत्यधिक जटिल होती है।
3. ऑक्सीकरण व अवकरण (Oxidation and reduction) :
उपापचय क्रिया के समय खाद्य पदार्थों के ऑक्सीकरण के फलस्वरूप ऊर्जा उत्पन्न होती है। ग्लूकोज के एक ग्राम अणु से ,0 व CO, बनने में ऑक्सीकरण के फलस्वरूप 4.1 cal ऊर्जा उत्पन्न होती है। सदैव ही ऑक्सीकरण की क्रिया के अन्तर्गत एक पदार्थ का ऑक्सीजन क्षय अथवा हाइड्रोजन ग्रहण द्वारा अवकरण होता है। ऑक्सीजन क्षय द्वारा अवकृत पदार्थ ऑक्सीजन दाता (Oxygen donor) कहलाता है। तथा ऑक्सीकृत पदार्थ ग्राहक (acceptor) कहलाता है। इसी प्रकार हाइड्रोजन ग्रहण द्वारा अवकृत पदार्थ हाइड्रोजन ग्राहक (hydrogen acceptor) तथा अवकारक पदार्थ हाइड्रोजन दाता (hydrogen donor) कहलाते हैं।
प्रश्न 4.
विकर के प्रकार का संक्षिप्त वर्णन कीजिए।
उत्तर :
सन् 1961 में अन्तर्राष्ट्रीय जैव रसायनज्ञ संघ (IUB) ने विकर वर्गीकरण वे नामकरण की एक नवीन पद्धति का अनुसरण किया। इसके अनुसार विकर का नाम ‘‘स्वव्याख्या’ (self explanatory) द्वारा सम्पन्न होता है। इस पद्धति के अनुसार विकरों का वर्गीकरण छ: मुख्य वर्गों में किया गया है
1. ऑक्सीडोरिडक्टेजेज (Oxidoreductases) :
इस वर्ग में ऑक्सीकरण-अपचयन (oxidation-reduction) की अभिक्रियाएँ उत्प्रेरित करने वाले विकर आते हैं। ये इलेक्ट्रॉन स्थानान्तरण (electron transport) को उत्प्रेरित करते हैं।
उदाहरणार्थ

(ii) Cytochrome-oxidase (साइटोक्रोम-ऑक्सीडेज) ऑक्सीजन का अपचयन करके cyt. a3 का ऑक्सीकरण करता है।
2. ट्रान्सफरेजेज (Transferases) :
वे विकर जो एक क्रियाधार (substrate) से H के अतिरिक्त अन्य किसी भी समूह को दूसरे अणु में स्थानान्तरित कर देते हैं, ट्रान्सफरेज कहलाते हैं। स्थानान्तरित होने वाले समूह प्राय: अमीनो एसाइल, मिथाइल ग्लूकोसिल, फॉस्फेट, थायोल, कीटोन, फार्माइल आदि होते हैं; जैसे– डी-हेक्सोज-6-फॉस्फोट्रान्सफरेज (हेक्सोकाइनेज-hexokinase) ATP से एक फॉस्फेट अणु का स्थानान्तरण ग्लूकोस को कर देता है।
![]()
3. हाइड्रोलेजेज (Hydrolases) :
वे विकर जो क्रियाधार (substrate) का जल अपघटन (hydrolysis) करते हैं, हाइड्रोलेज कहलाते हैं; जैसे–पाचक एन्जाइम, ग्लूटामीन हाइड्रोलेज (ग्लूटामिनेज- glutaminase) आदि।
![]()
4. लायेजेज (Lyases or Desmolases) :
वे विकर जो जल अपघटन के अतिरिक्त किसी अन्य विधि से क्रियाधार (substrate) में से समूहों को हटाते या जोड़ते हैं, लायेजेज कहलाते हैं; जैसे
- मैलेट-हाइड्रोलायेज (फ्यूमेरेज-fumerase)
- डीकार्बोक्सीलेज (कार्बनिक एनहाइड्रेज-carbonic anhydrase)
- कीटोज-1-फॉस्फेट ऐल्डिहाइड लायेज (ऐल्डोलेज-aldolase) आदि।
5. आइसोमेरेजेज (Isomerases) :
ये विकर क्रियाधार (substrate) में समूहों की अन्त: अवस्था में परिवर्तन कर पुनर्व्यवस्था को उत्प्रेरित करते हैं अर्थात् किसी यौगिक के एक समावयवी (isomer) को दूसरे समावयवी में बदलते हैं। इन्हें आइसोमेरेज कहते हैं, जैसे
- ट्रायोज आइसोमेरेज (triose isomerase)
- फॉस्फोहेक्सोसआइसोमेरेज (phosphohexoseisomerase)
- फॉस्फोग्लिसरोम्यूटेज (phosphoglyceromutase) आदि।
6. लाइगेजेज (Ligases) :
ये विकर सिन्थेटेज (synthetase) के नाम से भी जाने जाते हैं। ये ATP से ऊर्जा प्राप्त कर यौगिकों को जोड़ने की अभिक्रिया को उत्प्रेरित करते हैं; जैसे
- को-एन्जाइम ए लाइगेज (ऐसीटाइल को-एन्जाइम-ए सिन्थेटेज)
- अमोनिया लाइगेज (ग्लूटामीन सिन्थेटेज) आदि।।
दीर्घ उत्तरीय प्रश्न
प्रश्न 1.
कार्बोहाइड्रेट्स के विभिन्न प्रकारों का वर्णन कीजिए। मानव शरीर में कार्बोहाइड्रेट्स का क्या महत्त्व है? या कार्बोहाइड्रेट्स की प्रमुख श्रेणियों के नाम लिखिए। इन श्रेणियों में प्रमुख अन्तर क्या होते हैं? इन्हें सैकेराइड्स क्यों कहते हैं?
उत्तर :
कार्बोहाइड्रेट्स तथा उनके प्रकार (संवर्ग) या श्रेणियाँ
ये कार्बन, हाइड्रोजन व ऑक्सीजन के यौगिक हैं तथा इनका सामान्य सूत्र (CH2O)n होता है अर्थात् इनमें कार्बन, हाइड्रोजन तथा
ऑक्सीजन का अनुपात 1: 2 : 1 का होता है। कार्बोहाइड्रेट्स को सैकेराइड्स (saccharides) भी कहते हैं क्योंकि इनके छोटे अणु स्वाद में मीठे होते हैं। स्पष्टतः इनमें हाइड्रोजन तथा ऑक्सीजन का अनुपात जेल के समान (H2O) होता है। कुछ कार्बोहाइड्रेट्स में सल्फर, नाइट्रोजन तथा फॉस्फोरस तत्त्व भी होते हैं। कार्बोहाइड्रेट्स का निर्माण सभी क्लोरोफिल युक्त जीवाणुओं, शैवालों, पौधों आदि के द्वारा किया जाता है। कार्बोहाइड्रेट्स के प्रमुखत: तीन प्रकार (संवर्ग) होते हैं

(i) मोनोसैकेराइड्स (Monosaccharides) :
ये सरलतम कार्बोहाइड्रेट्स हैं तथा सबसे छोटे होते हैं। इन्हें प्राय: सरल शर्कराएँ (simple sugars) कहते हैं तथा ये स्वाद में मीठे और जल में घुलनशील होते हैं। इनके बनने की इस क्रिया को बहुलीकरण (polymerization) कहते हैं। इनमें उपस्थित कार्बन परमाणुओं की संख्या के आधार पर इन्हें ट्राइओज (triose) जैसे ग्लिसरैल्डिहाइड (glyceraldehyde); टेट्रोज (tetrose) जैसे इरिथ्रोज (erythrose); पेण्टोज (pentose) जैसे राइबोज (ribose), डीऑक्सीराइबोज (deoxyribose) आदि; हेक्सोज (hexose) जैसे ग्लूकोज (glucose C6H1206), फ्रक्टोज (fructose) आदि, हेप्टोज (heptose) जैसे हेप्ट्यू लोज (heptulose) आदि वर्गों में वर्गीकृत किया गया है।
(ii) ऑलिगोसैकेराइड्स (Oligosaccharides) :
ऐसे कार्बोहाइड्रेट्स दो से दस तक मोनोसैकेराइड इकाइयों से मिलकर इनके बहुलक के रूप में होते हैं। इनके बनने की इस क्रिया को बहुलीकरण (polymerization) कहते हैं। बेहुलीकरण के लिए मोनोसैकेराइड्स ग्लाइकोसिडिक बन्ध (glycosidic bond) के द्वारा जुड़ते हैं। ये भी अधिकतर स्वाद में मीठे तथा जल में घुलनशील होते हैं। ये रेखीय श्रृंखला में होते हैं किन्तु जल में घुलने पर चक्रीय स्वरूप में आ जाते हैं। इसी अवस्था में इनका बहुलीकरण भी होता है। ग्लाइकोसिडिक बन्ध बनाने में एक मोनोसैकेराइड का ऐल्डिहाइड या कीटोन (aldehyde or ketone) समूह दूसरे मोनोसैकेराइड के हाइड्रोक्सिल (ऐल्कोहॉलीय) समूह से जुड़ता है तथा जल का एक अणु बनाता है। सामान्यत: ऑलिगोसैकेराइड्स डाइसैकेराइड्स (disaccharides) ही पाये जाते हैं। इनमें दो मोनोसैकेराइड्स होते हैं। अधिक मोनोसैकेराइड्स वाले ऑलिगोसैकेराइड्स अन्य कार्बनिक यौगिकों जैसे-प्रोटीन्स, लिपिंड्स के साथ मिलकर ग्लाइकोप्रोटीन्स, ग्लाइकोलिपिड्स आदि बनाते हैं। जन्तुओं में ये प्रायः कोशिका कला (plasma membrane) का बाह्य आवरण बनाते हैं। डाइसैकेराइड प्रमुखतः माल्टोज (maltose), सुक्रोज (sucrose) आदि होते हैं।
(iii) पॉलिसैकेराइड्स (Polysaccharides) :
इन्हें ग्लाइकन्स (glycans) भी कहते हैं। ये सामान्यत: संगृहीत खाद्य के रूप में जीवद्रव्य में पाये जाते हैं। इनके निर्माण में दस से अधिक (कभी-कभी काफी जैसे सैकड़ों, हजारों) मोनोसैकेराइड इकाइयाँ (शाखित या अशाखित रेखीय श्रृंखला में) आपस में सम्बन्धित होती हैं; जैसे–मण्ड (starch), सेल्यूलोज (cellulose), ग्लाइकोजन (glycogen) आदि। इनका अणुभार (molecular weight) लाखों में होता है।
कार्बोहाइड्रेट्स का मानव शरीर में महत्त्व
मानव शरीर में कार्बोहाइड्रेट्स का महत्त्व इस प्रकार है
- ये श्वसन आधार (respiratory substrate) होते हैं। इन्हीं से ऊर्जा (energy) उत्पन्न की जाती है, इसीलिए इन्हें ‘जीव का ईंधन’ कहते हैं अर्थात् ये शरीर के लिए ऊर्जा के प्रमुख स्रोत है
- अन्य कार्बनिक अथवा अकार्बनिक अणुओं या मूलकों से मिलकर ये अनेक महत्त्वपूर्ण पदार्थ बनाते हैं; जैसे—पेण्टोज शर्कराएँ न्यूक्लिक अम्लों के अणुओं का अनिवार्य भाग होती हैं। ये ATP के संश्लेषण में भी सहायक होते हैं।
- इनका महत्त्व खाद्य संचय के लिए अत्यधिक है; जैसे शरीर में ये ग्लाइकोजन (glycogen) के रूप में संचित रहते हैं।
- ये रुधिर का थक्का जमने (clotting) से रोकने में सहायक होते हैं; जैसे—हीपैरिन (heparin)।
- शर्करा के कुछ अणु अस्थि सन्धियों पर स्नेहक (चिकनाई) का कार्य करते हैं।
- कोशिका कला की बाहरी सतह पर ग्लाइकोप्रोटीन्स तथा ग्लाइकोलिपिड्स के रूप में संयुक्त कार्बोहाइड्रेट्स की उपस्थिति कलाओं की पहचान बनाती है और ग्राही का कार्य करती है।
- लारे, म्यूकस, रुधिर समूह के एण्टीजेन्स में भी शर्करा के अणु उपस्थित होते हैं।
प्रश्न 2.
एन्जाइम की क्रिया-विधि का वर्णन कीजिए। विभिन्न प्रकार के कारकों को एन्जाइम की क्रिया-विधि पर पड़ने वाले प्रभावों का वर्णन कीजिए। या विकर की संरचना का वर्णन कीजिए तथा इसकी उत्प्रेरित अभिक्रियाओं को प्रभावित करने वाले किन्हीं दो कारकों का वर्णन संक्षेप में कीजिए।
उत्तर :
एन्जाइम्स
एन्जाइम्स (enzyme, Gr, en = in; zyme = yeast) विशेष प्रकार के कार्बनिक उत्प्रेरक (organic catalysts) हैं जो जीवों में रासायनिक प्रक्रियाओं के उत्प्रेरण के लिए उत्तरदायी होते हैं। जीवतन्त्र में एन्जाइम्स की उपस्थिति का ज्ञान बहुत पुराना है। यद्यपि एन्जाइम (enzyme) नाम तब पड़ा, जब कुहने (Kuhne, 1878) ने यीस्ट (yeast) में पाये जाने वाले खमीर को इस नाम से पुकारा। प्राय: सभी एन्जाइम्स प्रोटीन (protein) के बने होते हैं। इनकी संरचना जटिल तथा अणुभार भी बहुत अधिक होता है। जीव तन्त्र के बाहर अर्थात् प्रयोगशाला में इनका संश्लेषण अभी सम्भव नहीं है। वैज्ञानिकों ने कई एन्जाइम्स (enzymes) को कोशिकाओं से निकालकर उनके रवे (crystals) प्राप्त किये हैं। अनेक एन्जाइम; जैसे—पेप्सिन (pepsin) में शुद्ध प्रोटीन के साथ अन्य पदार्थ जुड़े रहते हैं। अनेक एन्जाइम में प्रोटीन के साथ किसी धातु; जैसे-लोहा (Fe), जस्ता (Zn), ताँबा (Cu) आदि के अंश सम्बद्ध होते हैं, जैसे—साइटोक्रोम्स (cytochromes) में लोहा होता है आदि। एज़ाइम के प्रोटीन तथा नॉन-प्रोटीन भाग क्रमश: एपोएन्जाइम (apoenzyme) तथा प्रोस्थेटिक ग्रुप (prosthetic group) कहलाते हैं तथा सम्पूर्ण एन्जाइम को होलोएन्जाइम (holoenzyme) कहते हैं। कुछ एन्जाइम्स की सक्रियता उनसे लगे हुए आयनों (ions) पर निर्भर करती है। ऐसे आयनों को डायलिसिस (dialysis) द्वारा विलग किया जा सकता है। इस प्रकार के आयन सक्रिय कारक होते हैं।
एन्जाइम्स की क्रिया-विधि
वास्तव में, एन्जाइम जिस क्रिया के प्रति अपनी सक्रियता प्रदर्शित करते हैं, वे अपने-आप भी होती हैं। किन्तु अत्यधिक धीमी गति से। एन्जाइम कैसे कार्य करता है? इस बारे में समय-समय पर अनेक विचारधाराएँ प्रस्तुत की गई हैं, जैसे. हेनरी (Henry, 1903) ने बताया कि एन्जाइम अपने क्रियाधार या सब्सट्रेट (substrate) से मिलकर एक यौगिक बना लेते हैं। बाद में, इस सिद्धान्त को एन्जाइम-सब्सट्रेट कॉम्प्लेक्स (enzyme-substrate complex) परिकल्पना कहा गया। इसके अनुसार, एन्जाइम के बाह्य तल पर विशेष प्रकार की संरचनाएँ होती हैं जिनको टेम्प्लैट (template) कहते हैं। इन्हीं में आधारीय पदार्थों के अणु हँस जाते हैं। इन अणुओं की संरचना टेम्प्लैट के अनुसार होती है। इस प्रकार बनने वाले विशिष्ट घनिष्ठ साहचर्य की स्थापना के विषय में निम्नलिखित दो सिद्धान्त प्रस्तुत किये गये हैं
1. ताला-कुँजी सिद्धान्त
इस विचारधारा को वैज्ञानिक एमिल फिशर (Emil Fisher, 1894) ने दिया। इसके अनुसार, एन्जाइम क्रियाधार (substrate) के साथ क्रिया कर एन्जाइम-सब्सट्रेट कॉम्प्लेक्स (enzyme-substrate complex) नामक अत्यधिक सक्रिय अस्थाई यौगिक बनाता है। इस कॉम्प्लेक्स से अन्त में एन्जाइम अलग हो जाता है तथा क्रियाधार से नया पदार्थ बनता है।

2. प्रेरित आसंजन सिद्धान्त
कॉशलेण्ड (Koshland, 1960) द्वारा प्रतिपादित इस सिद्धान्त में ये माना गया है कि एन्जाइम का सक्रिय स्थल (active site) स्थिर संरचना का न होकर परिवर्तन योग्य होता है। एक विशेष प्रकार का क्रियाधार (substrate) एक विशेष एन्जाइम के सक्रिय स्थल में परिवर्तन प्रेरित करने में सक्षम होता

है अर्थात् प्रारम्भ में सब्सट्रेट की रचना तथा सक्रिय स्थल की रचना अनुपूरक (complementary) नहीं होती, किन्तु सक्रिय स्थल में परिवर्तन प्रेरित कर यह क्रियाधार इसे अपने अनुपूरक बना लेता है और एन्जाइम के साथ संयुक्त हो जाता है। इसके बाद की क्रियाओं में सक्रिय स्थल क्रियाधार के बॉण्ड्स (bonds) को विच्छेदित कर उत्पादक पदार्थों को मुक्त कर देता है।
एन्जाइम की सक्रियता को प्रभावित करने वाले कारक निम्नलिखित कारक
एन्जाइम की क्रियाशीलता को प्रभावित करते हैं
1. ताप (Temperature) :
एन्जाइम को जिस स्थान पर कार्य करना है, वहाँ का ताप; सामान्यतः 35° से 45°C होना चाहिये। इससे अधिक या कम ताप पर एन्जाइम की क्रियाशीलता कम हो जाती है। 60°-65°C ताप तथा इससे अधिक ताप पहुँचने पर एन्जाइम प्रायः नष्ट हो जाते हैं। इसी प्रकार, कम ताप पर भी इनकी क्रियाशीलता घटती है और 0°C पर पहुँचने पर ये प्रायः निष्क्रिय होकर परिरक्षित (preserve) हो जाते हैं।
2. pH का मान (Value of pH) :
कुछ एन्जाइम्स अम्लीय माध्यम में तथा अन्य क्षारीय माध्यम में क्रियाशील होते हैं, इसके विपरीत ये कार्य नहीं करेंगे। वास्तव में, प्रत्येक एन्जाइम एक विशेष pH माध्यम में ही उच्चतम क्रियाशीलता प्रदर्शित करता है। pH मान कम या अधिक होने पर एन्जाइम की सक्रियता कम हो जाती है। pH परिवर्तन से अभिक्रिया की दिशा भी बदल सकती है।
![]()
pH परिवर्तन से एन्जाइम, क्रियाधार, सक्रियकारक व संदमकों की घुलनशीलता तथा आयनीकरण प्रभावित होते हैं। एन्जाइमों पर अम्लीय अथवा क्षारीय आयनों युक्त अनेक पाश्र्व श्रृंखलाएँ पायी जाती हैं। pH परिवर्तनों से इन पार्श्व श्रृंखलाओं में परिवर्तन होने से आयनीकरण प्रभावित होता है।
3. आर्द्रता (Humidity) :
10-25% आर्द्रता पर एन्जाइम सक्रियता समाप्त हो जाती है। अनुकूलतम बिन्दु तक आर्द्रता बढ़ाने पर एन्जाइम की सक्रियता बढ़ती है।
4. अन्तिम उत्पादों की सान्द्रता (Concentration of end products) :
अन्तिम उत्पादों के संचयन (accumulation) से एन्जाइम की सक्रियता कम हो जाती है। उत्पाद संचयन से अभिक्रिया का विपरीत दिशा में तीव्र होना, एन्जाइम की सतह पर संचयन
से एन्जाइम का निष्क्रिय होना अथवा उत्पादों द्वारा pH प्रभावित होना आदि पाया जाता है। कभी-कभी उत्पाद सक्रिय स्थल पर जुड़कर उसे अवरुद्ध कर देता है। इस घटना को पुनर्निवेशित
संदमन feedback inhibition)कहते हैं।
5. सक्रियकारक (Activators) :
अनेक अकार्बनिक आयन अथवा परमाणु सूक्ष्म मात्रा में रहकर एन्जाइमों की सक्रियता बढ़ा देते हैं; जैसे-K+, Mg++, Mn++, Cl– आदि। सक्रियकारक क्रियाधार व एन्जाइम के जुड़ने में सहायक होते हैं।
6. प्रोटीनविष (Protein poisons) :
भारी धातु (Hg++, Ag++, Pb++ आदि)-COOH अथवा -SH से जुड़ जाते हैं। ऑक्सीकारक (oxidants) S-S बन्ध बनाकर एन्जाइम की संरचना में परिवर्तन कर देते हैं। साइनाइड्स (cyanides), कार्बन मोनोऑक्साइड (carbon monoxide), फ्लोराइड्स (fluorides) आदि सक्रियकारक के साथ जुड़कर सम्मिश्र बनाते हैं। ये सब अप्रतियोगी संदमक (non-competitive inhibitors) कहलाते हैं।
7. क्रियाधार आकृतिक अनुरूप पदार्थ (Substrate analogues) :
क्रियाधार आकृतिक अनुरूप पदार्थ एन्जाइम के सक्रिय स्थल के लिये होड़ करते हैं। इनकी उपस्थिति से एन्जाइम सक्रियता में कमी होती है। इन पदार्थों को प्रतियोगी संदमक (competitive inhibitors) कहते हैं। इस संदमन को क्रियाधार की सान्द्रता बढ़ाने से दूर किया जा सकता है।
8. विकिरण (Radiant rays) :
उच्च ऊर्जा किरणों (X-rays, gamma rays, ultraviolet rays) आदि से विभिन्न बन्ध टूटकर (-SH) नये बन्ध (S-S) बनते हैं जिससे एन्जाइम सक्रियता कम हो जाती है।
9. क्रियाधार की सान्द्रता (Substrate concentration) :
यदि एन्जाइम की मात्रा अधिक हो तो क्रियाधार की सान्द्रता बढ़ाने से अभिक्रिया की दर में वृद्धि होती है।
10. एन्जाइम की सान्द्रता (Enzyme concentration) :
यदि क्रियाधार की सान्द्रता अधिक हो तो एन्जाइम की सान्द्रता बढ़ाने से अभिक्रिया की दर में वृद्धि होती है। एन्जाइम के द्वारा सम्पादित प्रतिक्रियाएँ प्रतिवर्ती (reversible) होती हैं। अतः संश्लेषणात्मक (synthetic) प्रतिक्रिया होगी या विखण्डनात्मक (decompositional), इसका निर्णय अन्य दशाओं पर निर्भर होगा, न कि एन्जाइम पर। सामान्यतः किसी भी ऐसी प्रक्रिया के फलस्वरूप उत्पादित (produced) पदार्थ को अन्य प्रक्रियाओं के द्वारा हटाया जाते रहना चाहिये। इसलिये एन्जाइम प्रक्रियाएँ सामूहिक एवं शृंखलाबद्ध serial) होती हैं, क्योंकि प्रत्येक क्रिया में बना हुआ उत्पाद (product) अगली प्रतिक्रिया के लिये आधारीय पदार्थ (substrate) का कार्य करता है।